Foro de preguntas y respuestas de Matemáticas

logo beUnicoos
Los foros de unicoos se han unificado en nuestra nueva plataforma beUnicoos. Para dejar nuevas preguntas deberás hacerlo allí, donde además podrás encontrar nuevas asignaturas y herramientas para ayudarte más con tus estudios.

  • icon

    Antonio Sanchez
    el 11/5/19

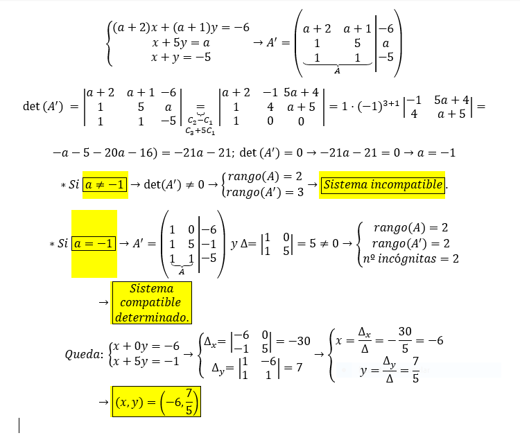
    no se en que he fallado en esta determinante de orden 4, ayuda!

    replythumb_up0 voto/sflag
    icon

    César
    el 11/5/19


    thumb_up0 voto/sflag
  • icon

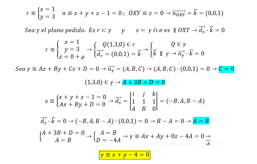
    Marinés Querab
    el 11/5/19

    Espero puedan ayudarme.

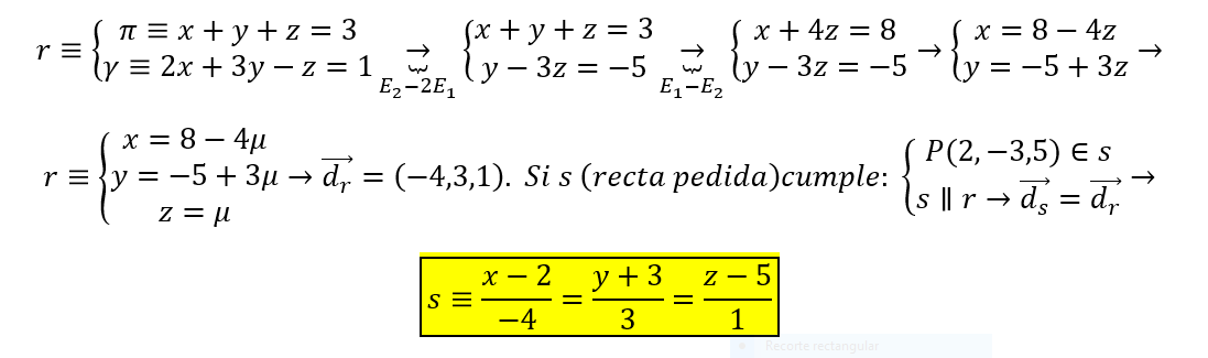
    Hallar la ecuación de la recta que pasa por el punto P(2; -3; 5) y es paralelo a la recta intersección de los planos π:x+y+z=3π:2x+3y-z=1.


    Desde ya muchas gracias.


    replythumb_up0 voto/sflag
    icon

    César
    el 11/5/19


    thumb_up1 voto/sflag
    icon

    Antonius Benedictus
    el 11/5/19


    thumb_up1 voto/sflag
  • icon

    Irene
    el 11/5/19

    Buenas,tengo una duda con este ejercicio porque no sé cómo plantearlo ¿Alguien me puede ayudar,por favor?

    replythumb_up0 voto/sflag
    icon

    Antonius Benedictus
    el 11/5/19


    thumb_up1 voto/sflag
  • icon

    william rodriguez
    el 11/5/19

    Hola. alguien me puede ayudar con estas integrales impropias.debo evaluar si son convergentes pero por criterios. no encentro vídeos respecto a esto. gracias


    replythumb_up0 voto/sflag
    icon

    Antonius Benedictus
    el 11/5/19

  • icon

    José
    el 11/5/19

    Hola alguien me puede ayudar con este ejercicio, por favor?

    replythumb_up0 voto/sflag
    icon

    Antonius Benedictus
    el 11/5/19


    thumb_up1 voto/sflag
  • icon

    Majda Yahya
    el 11/5/19

    Hola alguien me puede ayudar con el ejercicio 29, estoy practicando para las pruebas de la EBAU y este ejercicio no me sale.

    replythumb_up0 voto/sflag
    icon

    Antonius Benedictus
    el 11/5/19


    thumb_up0 voto/sflag
  • icon

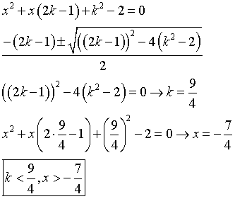
    carolina
    el 11/5/19

    hola!! tengo una consulta urgentisima, necesito resolver esta ecuacion y quedo trabada, les paso foto, por favor, si alguien pudiera enviarme como hacerlo super rapido se los agradezco!!

    replythumb_up0 voto/sflag
    icon

    Antonius Benedictus
    el 11/5/19

    Suba foto del enunciado original.

    thumb_up1 voto/sflag
    icon

    carolina
    el 11/5/19


    thumb_up0 voto/sflag
    icon

    César
    el 11/5/19

    según lo que tienes publicado



    thumb_up0 voto/sflag
  • icon

    Cinthia LV
    el 11/5/19

    por favor podrían ayudarme con éste problema ^^ mil gracias 

    replythumb_up0 voto/sflag
    icon

    Antonius Benedictus
    el 11/5/19


    thumb_up0 voto/sflag
  • icon

    Dm2000
    el 11/5/19


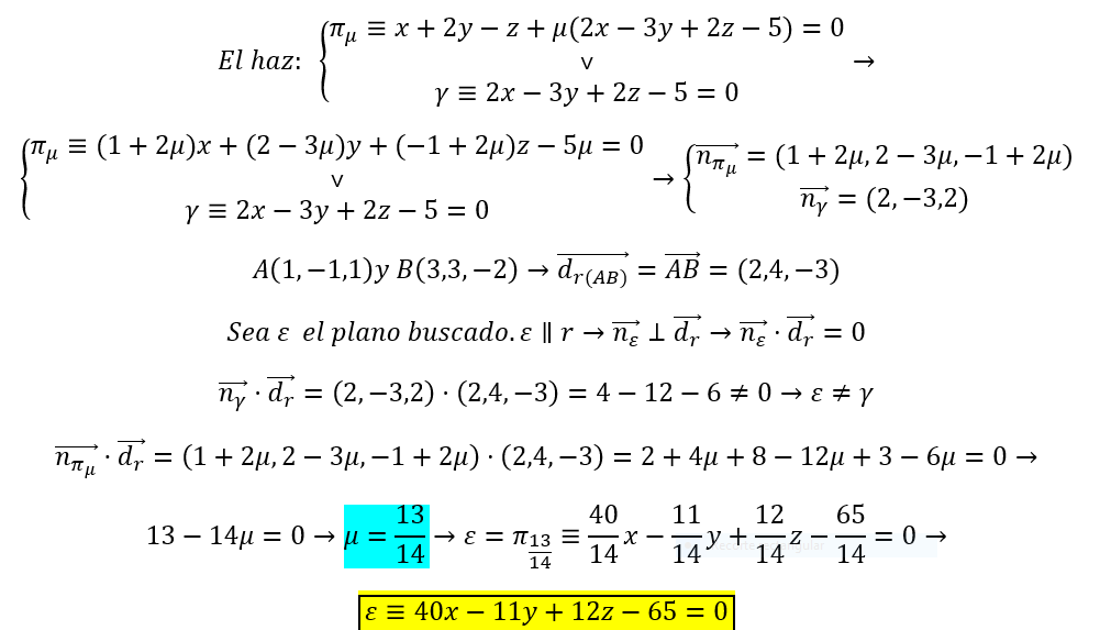
    replythumb_up0 voto/sflag
    icon

    Antonius Benedictus
    el 11/5/19


    thumb_up0 voto/sflag
  • icon

    Y3
    el 11/5/19

    Qué regla se usa aquí? Gracias 

    replythumb_up0 voto/sflag
    icon

    Uriel Dominguez
    el 11/5/19

    Mira el vídeo que esta en el canal de unicoos sobre la regla de la cadena :) 

    thumb_up0 voto/sflag
    icon

    Antonius Benedictus
    el 11/5/19

    La regla de la cadena. Primero se deriva el cuadrado y después el cociente.

    thumb_up0 voto/sflag