Foro de preguntas y respuestas de Matemáticas

logo beUnicoos
Los foros de unicoos se han unificado en nuestra nueva plataforma beUnicoos. Para dejar nuevas preguntas deberás hacerlo allí, donde además podrás encontrar nuevas asignaturas y herramientas para ayudarte más con tus estudios.

  • icon

    Cinthia LV
    el 3/5/19

    por favor podrían ayudarme con estw problema (el marcado se celeste) mil gracias 

    replythumb_up0 voto/sflag
    icon

    Antonius Benedictus
    el 4/5/19


    thumb_up0 voto/sflag
  • icon

    Cristina
    el 3/5/19

    Sería correcto??


    replythumb_up0 voto/sflag
    icon

    César
    el 3/5/19


    thumb_up0 voto/sflag
  • icon

    Cristina
    el 3/5/19

    Sería correcta la función inversa de esta función?


    replythumb_up0 voto/sflag
    icon

    Manolo
    el 4/5/19

    es correcto

    thumb_up0 voto/sflag
  • icon

    lbp_14
    el 3/5/19

    Hola Unicoos

    Alguien puede desarrollarme paso a paso cómo hallo las soluciones de la primera derivada, o recomendarme algún vídeo para refrescarme la memoria de cómo podría despejar (x) en este caso?

    Muchísimas gracias


    replythumb_up0 voto/sflag
    icon

    David
    el 3/5/19

    multiplicando por ex todos los factores de la ecuación:

    e2x-a=0    e2x=a aplico logaritmos neperianos en ambos miembros

    2x=lna y despejo x. Espero haber ayudado

    thumb_up1 voto/sflag
    icon

    David
    el 4/5/19

    has hecho un factor común de "e elevado a x" y "e elevado a -x"

    thumb_up0 voto/sflag
  • icon

    Zanubia Nufuri
    el 3/5/19

    Hola!! Quería consultar sobre el siguiente límite:

    limx—>0 (1-cosx)/(1+sin x) 

    El resultado seria =0?

    porque lo resolví así en el examen y me lo consideraron mal 😓

    replythumb_up0 voto/sflag
    icon

    Antonius Benedictus
    el 3/5/19


    thumb_up0 voto/sflag
  • icon

    Sergio Sangiani
    el 3/5/19


    Buenas quisiera saber si las actividades que hice están bien, y si me podrían ayudar con el punto que dice, que analice la que pasa con la funciona cuando x se acerca a 1 gracias!

    replythumb_up0 voto/sflag
    icon

    César
    el 3/5/19

    Correctas Sergio.

    thumb_up0 voto/sflag
    icon

    Sergio Sangiani
    el 3/5/19

    gracias profe, y el punto 1 solamente tengo que calcular el limite? no tengo que contestar mas nada?

    thumb_up0 voto/sflag
  • icon

    Uriel Dominguez
    el 3/5/19

    Que tal, me podrían decir si están bien resueltos? 

    replythumb_up0 voto/sflag
    icon

    César
    el 3/5/19


    thumb_up1 voto/sflag
  • icon

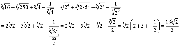
    García Barranco
    el 3/5/19

    Hola muy buenos días.

    sumas y restas de radicales

                                                     Me podrían explicar qué propiedad hay en la siguiente operación?


    Gracias y un saludo

    replythumb_up0 voto/sflag
    icon

    César
    el 3/5/19


    thumb_up0 voto/sflag
  • icon

    Y3
    el 3/5/19

    Me gustaría saber cómo se llama este procedimiento, ya que son apuntes de un compañero y no sé  buscar más info de esto sin el nombre XD gracias. Es el tema de derivadas.

    replythumb_up0 voto/sflag
    icon

    César
    el 3/5/19

    Se trata de representar pares de puntos tal que f(-2)=1 es el punto 

    (-2,1) y así sucesivamente 


    thumb_up0 voto/sflag
  • icon

    Maria Castillo Casas
    el 3/5/19

    alguien me ayuda??? ``¿cuantos términos de la progresión aritmética 4;8;12;.... hay que tener para que su suma sea 1200?´´ ...... no tengo ni idea de como hacer este ejercicio y necesito ayuda porque estoy estudiando para mi examen de mañana.... AUXILIO .... de antemano: GRACIAS!!



    replythumb_up0 voto/sflag
    icon

    César
    el 3/5/19


    thumb_up1 voto/sflag