
Rectas
Se trata de que DESPUES DE IR A CLASE (ver los vídeos relacionados con vuestras dudas) enviéis dudas concretas, muy concretas. Y que nos enviéis siempre también todo aquello que hayais conseguido hacer por vosotros mismos. Paso a paso, esté bien o mal. No solo el enunciado. De esa manera podremos saber vuestro nivel, en que podemos ayudaros, cuales son vuestros fallos.... Y el trabajo duro será el vuestro.

Se trata de que DESPUES DE IR A CLASE (ver los vídeos relacionados con vuestras dudas) enviéis dudas concretas, muy concretas. Y que nos enviéis siempre también todo aquello que hayais conseguido hacer por vosotros mismos. Paso a paso, esté bien o mal. No solo el enunciado. De esa manera podremos saber vuestro nivel, en que podemos ayudaros, cuales son vuestros fallos.... Y el trabajo duro será el vuestro.
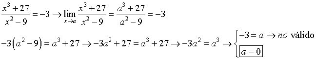
Buenas. Cómo puedo calcular esto: x3 + 27÷ x2 -9 y su limite es -3 Y muchísima gracias.
Otra ecuación que está vez no tengo ni idea un alumno tiene 18 años menos que su profesor dentro de 6 años la edad del profesor será doble que la edad del alumno cuantos años tiene actualmente cada uno? Gracias de antemano por las respuestas
No se como hacer esta ecuación Javier tiene 47 años, juanjo 30 y Emilio 12 cuantos años han de transcurrir para que la suma de las edades de juanjo y emilio sea igual a la edad que tenga Javier. Creo que lo he echo mal porque el resultado me da 5 partido por 3 y no creo que sea la respuesta correcta algo he echo mal
Hola, dado el valor del Percentil 10, 50 y 90, alguien sabe cual sería el valor medio? Por ejemplo: P10 = 0, P50=134 y P90=409. Que valor podría tomar de referencia? Un saludo y muchas gracias.

Se trata de que DESPUES DE IR A CLASE (ver los vídeos relacionados con vuestras dudas) enviéis dudas concretas, muy concretas. Y que nos enviéis siempre también todo aquello que hayais conseguido hacer por vosotros mismos. Paso a paso, esté bien o mal. No solo el enunciado. De esa manera podremos saber vuestro nivel, en que podemos ayudaros, cuales son vuestros fallos.... Y el trabajo duro será el vuestro.