En el ejercicio 18 no tiene matriz diagonal, verdad? Pues al hacerlo la dimensión de la multiplicidad geométrica 2 no coincide con la de su autoespacio que según yo es de dimensión 1.
Del 20 necesito la matriz asociada para poder calcular todo lo que me piden, verdad? Si es así me podrían decir si está bien mi matriz asociada está a un lado del enunciado. ![]()
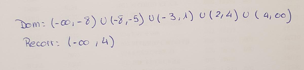
Hola buenas, ¿es posible una cónica con ambos signos negativos? Por ejemplo el siguiente:
- (x2 / 9) - (y2 /4) =1

Observa que las expresiones que tienes entre paréntesis toman valores positivos (son cuadrados divididos por números positivos), por lo que tienes que los dos términos de la izquierda son negativos para todo valor de x y para todo valor de y, y, por lo tanto, no pueden ser que una suma de dos términos negativos sea igual a uno, que es un número positivo.
Con todo, puedes concluir que la ecuación de tu enunciado no corresponde a una cónica.
Y observa que si en el segundo miembro estuviese -1, entonces podrías multiplicar por -1 en todos los términos, y ahí sí te quedaría la ecuación de una elipse.
Espero haberte ayudado.
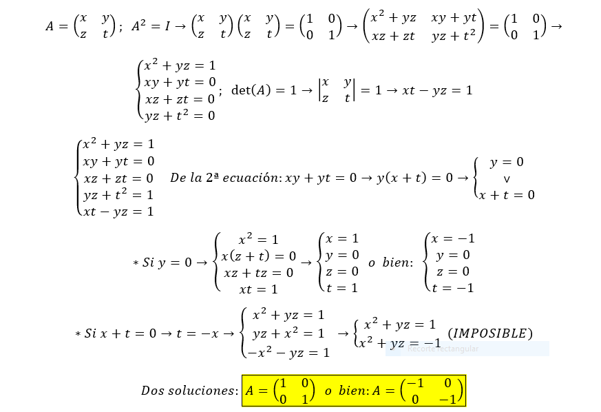
alguien podría solucionarme este problema?: Calcular una matriz A, de orden 2 que cumple: A^2=I y det(A)=1

Vamos con una orientación, a fin de determinar dos matrices que cumplan con las condiciones de tu enunciado, y observa que no afirmaremos que estas sean las dos únicas.
A partir de la ecuación matricial que tienes en tu enunciado:
A2 = I, planteas las expresión de los determinantes en ambos miembros, y queda:
det(A2) = det(I), resuelves el segundo miembro, y queda:
det(A2) = 1, aplicas la propiedad del determinante de una potencia de una matriz en el primer miembro, y queda:
( det(A) )2 = 1, extraes raíz cuadrada en ambos miembros, y tienes dos opciones:
a)
det(A) = 1, por lo que una solución podría ser la matriz identidad de orden dos:
I =
1 0
0 1;
b)
a)
det(A) = -1, por lo que una solución podría ser la opuesta de la matriz identidad de orden dos:
-I =
-1 0
0 -1.
Espero haberte ayudado.

¡Hola! Nos encantaría ayudarte, pero no solemos responder dudas universitarias que no tengan que ver específicamente con los vídeos que David Calle ha grabado como excepción. O de otras asignaturas que no sean Matemáticas, Física y Química. Lo sentimos de corazón… Esperamos que lo entiendas.
Ojalá algún unicoo universitario se anime a ayudarte (de hecho, lo ideal es que todos los universitarios intentarais ayudaros los unos a los otros).