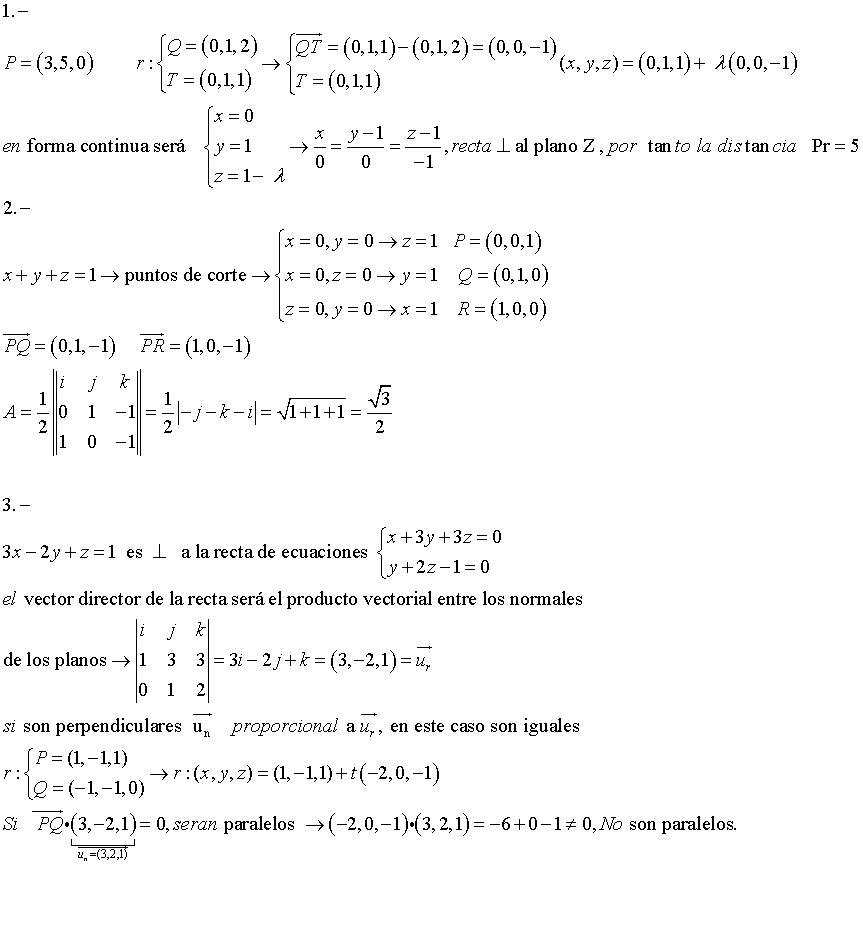
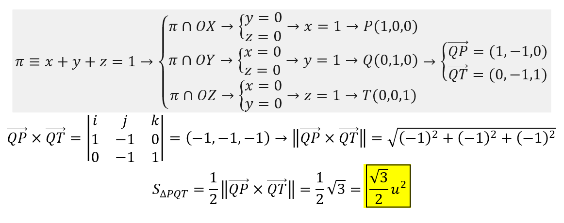
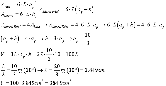
Podrias decirme si el ejercicio esta bien y ayudarme con el siguiente porfa , el 4 y este : Hallar la distancia entre los planos x + y - z +5 =0 y x + y - z • 1 = 0 , gracias de antemano![]()
![]()

Vamos con una orientación.
Observa que los planos son paralelos, y que uno de sus vectores normales es: n = <1,1,-1>,
y observa también que el punto: A(0,0,5) pertenece al primer plano.
Luego, planteas la ecuación de la recta que pasa por el punto A y es perpendicular a los planos, por lo que tienes que su vector director es n, y quedan sus ecuaciones cartesianas paramétricas:
x = t,
y = t,
z = 5-t,
con t ∈ R.
Luego, solo queda que sustituyas las tres expresiones de las ecuaciones paramétricas en la ecuación del segundo plano (no lo hacemos aquí porque no se ve claramente cuál es el signo del último término de su ecuación), para luego despejar el valor del parámetro (t), para reemplazarlo luego en las ecuaciones paramétrcas de la recta, de las que obtendrás los valores de las coordenadas del punto B, que es el punto de intersección del segundo plano con la recta perpendicular.
Luego, calculas la distancia entre el punto A y B, y tienes la distancia de separación entre los planos paralelos cuyas ecuaciones tienes en tu enunciado.
Espero haberte ayudado.
¿Hola me podrían resolver esta ecuación paso a paso para entenderlo ? MUCHAS GRACIAS.
Tengo el examen mañana y necesito vuestra ayuda urgentemente. #NosVemosEnClase(2-3x)²
¿Hola me podrían resolver esta ecuación paso a paso para entenderlo ? MUCHAS GRACIAS.
Tengo el examen mañana y necesito vuestra ayuda urgentemente. #NosVemosEnClase(2-3x)²+2(x-1)²=0

Tienes dos maneras de plantear el desarrollo de tu binomio elevado al cuadrado.
1°)
Por aplicación de la propiedad distributiva del producto con respecto a la suma o la resta:
(2-3x)2 = (2-3x)*(2-3x) = 22 + 2*(-3x) - 3x*2 + (-3x)2 = 4 - 6x - 6x + 9x2= 4 - 12x + 9x2.
2°)
Por desarrollo de un binomio elevado al cuadrado:
(2-3x)2 = 22 + 2*2*(-3x) + (-3x)2= 4 - 12x + 9x2.
Espero haberte ayudado.
Debo pedirte disculpas por no ver el error que cometiste,
el primer lugar debes tipificar y luego darle la vuelta y lo hiciste al revés !!!!
fíjate que la diferencia entre está en que en tu resolución cambiaste solo la a de signo y en la solución es la fracción completa la que cambia de signo.
Para que salgas de dudas, prueba a hacer el ejercicio al revés, es decir,
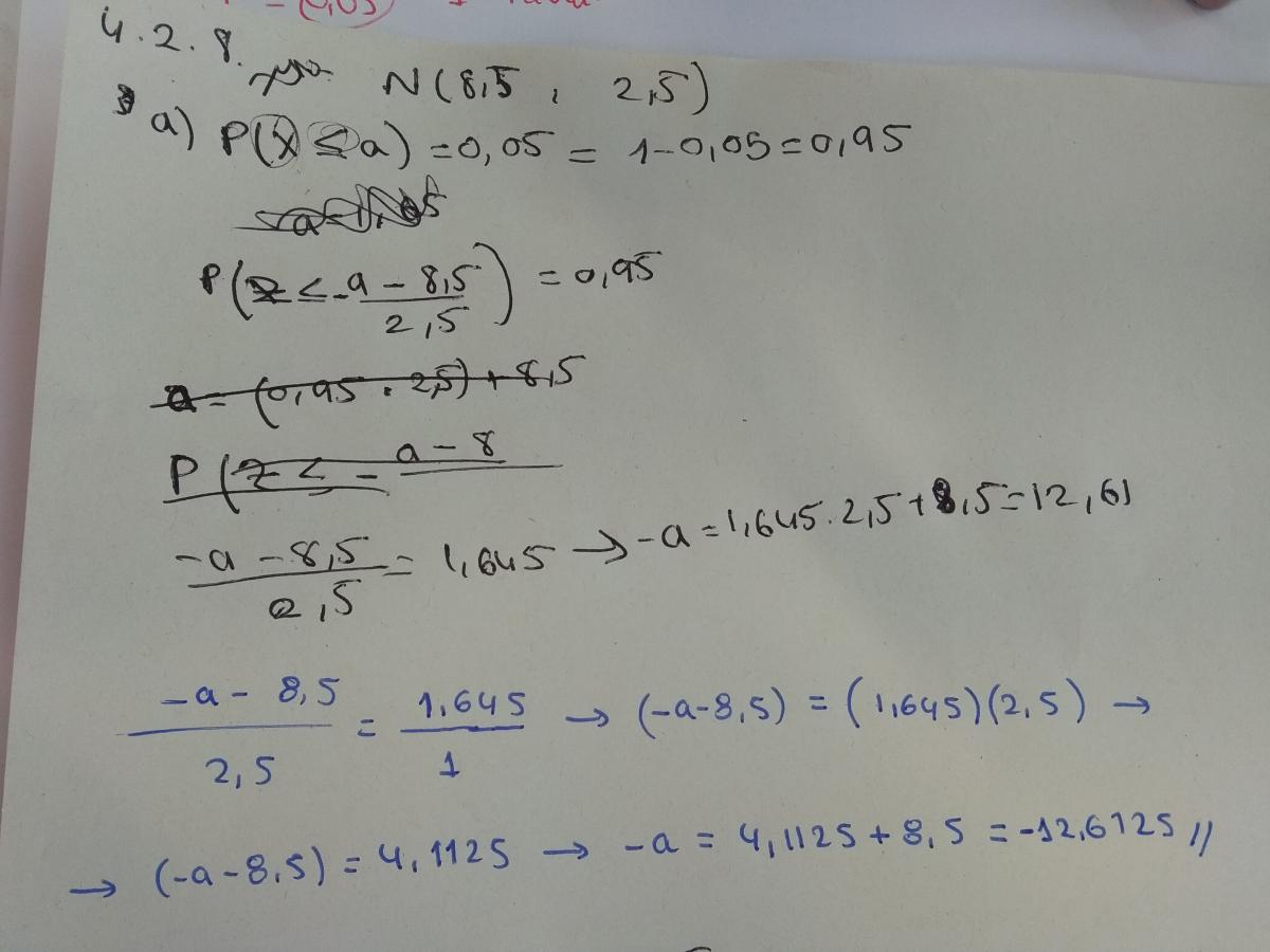
calcula las probabilidades siguientes:
P(X≤ -12'6)
y
P(X≤ 4'3875)
comprobando cuál de ellas da como solución 0'05
Verán, les comento, he faltado durante muchas sesiones a clase a causa de una intervención quirúrgica de urgencia y me encuentro con que mañana es el examen, mi pregunta es si serían tan amables de resolverme estos ejercicios con tal de saber como debería afrontar ejercicios similares a los siguientes....por mucho que he estudiado el tema y acudiendo a videos de este mismo portal no soy capaz de resolverlos completamente por mi misma![]()
![]()