¿Podrían decirme si he hecho bien este ejercicio de PROBABILIDAD? es que no tengo el resultado y quiero saber si lo he hecho bien
En una casa hay tres llaveros, A,B y C; el primero con 5 llaves, el segundo con 7 el tercero con 8, de las que solo una de cada llavero abre la puerta del trastero. Se escoge al azar un llavero y, de él una llave para abrir el trastero. Se pide:
a) ¿Cuál es la probabilidad de que se acierte con la llave?
b)¿Cuál será la probabilidad de que el llavero escogido sea el tercero y la llave no abra?
c) Y si la llave escogida es la correcta,¿Cuál es la probabilidad de que pertenezca al primer llavero?![]()
Tengo una duda con un ejercicio de PROBABILIDAD. El problema dice lo siguiente:
Disponemos de dos urnas: la urna A contiene 6 bolas rojas y 4 blancas, la urna B contiene 4 bolas rojas y 8 bolas blancas. Se lanza un dado, si aparece un número menor que 3; nos vamos a la urna A; si el resultado es 3 o más, nos vamos a la urna B. A continuación extraemos una bola.
Calcula la probabilidad de que la bola sea blanca.
En este caso, tendríamos que tener en cuenta la probabilidad de que sea del dado A o del dado B, o solo tener en cuenta si son bolas blancas? No se si me expliqué bien
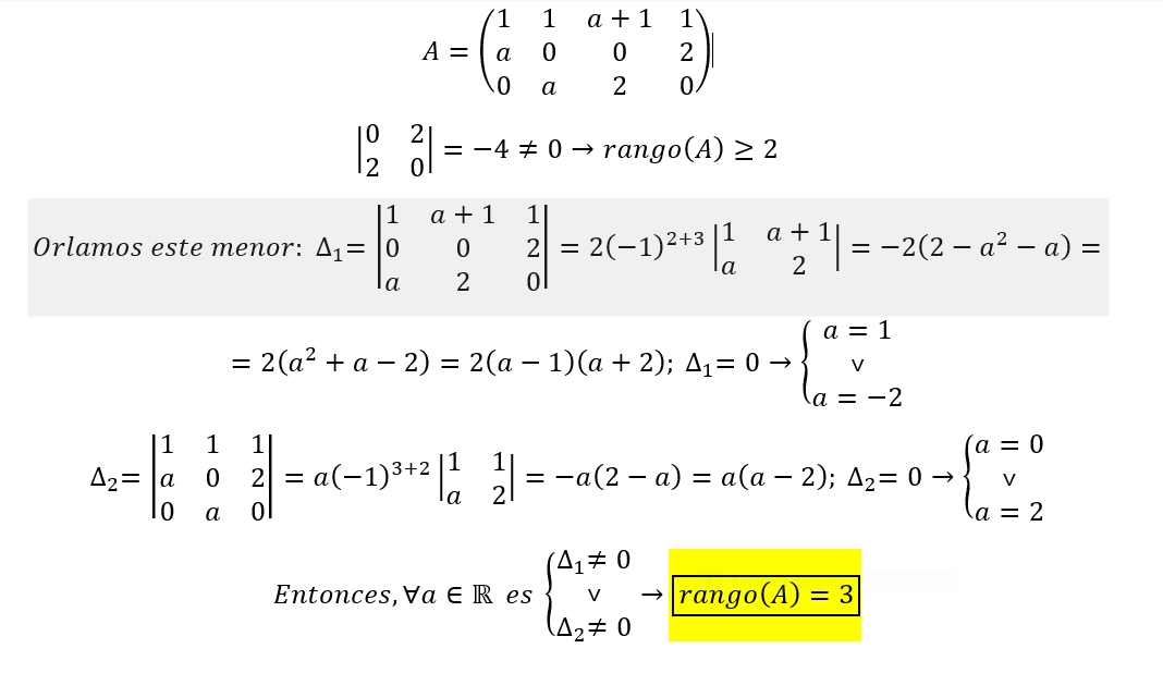
Tengo una duda. cuando me piden calcular una base para el espacio nulo, al resolver la matriz en este caso de 4*4 me queda que x=0, y=0, z=0 y w=0, ¿Cuál sería una base? La canónica de R4?
Pregunta rápida: ¿Una asintota horizontal puede dar como resultado + o - infinito? Si eso es posible y hubiera una asintota en el + infinito, ¿Ya no habría asintotas oblicuas?

Se trata de que DESPUES DE IR A CLASE (ver los vídeos relacionados con vuestras dudas) enviéis dudas concretas, muy concretas. Y que nos enviéis siempre también todo aquello que hayais conseguido hacer por vosotros mismos. Paso a paso, esté bien o mal. No solo el enunciado. De esa manera podremos saber vuestro nivel, en que podemos ayudaros, cuales son vuestros fallos.... Y el trabajo duro será el vuestro.
Aupa!
Tengo una duda: debo calcular el área resaltada de este ejercicio y no tengo idea de cómo hacerlo. Pensé en que podía usar la fórmula para círculos, pero parece ser que es un elipse. Aún así, sabiendo la fórmula de la elipse, no sé cómo resolver este problema. Gracias de antemano.

∼zallaevan
P.D.: He encontrado la solución:
