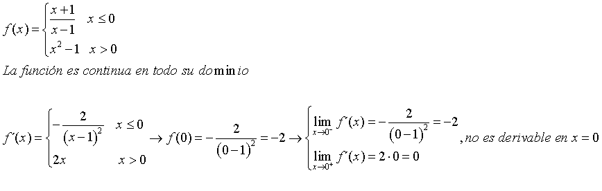
Hola, quisiera saber si lo que plantee en los ejercicios 5-7-8 y 10 son correcto? Perdonar las molestias ocasionadas pero el viernes tengo examen y de estos ejercicios no hay solucionario. Gracias nuevamente por la ayuda
Hola, Alguien me podría ayudar con los ejercicios del 5-10? Los plante de esta manera pero no se si están correctos. Por otro lado,
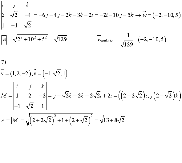
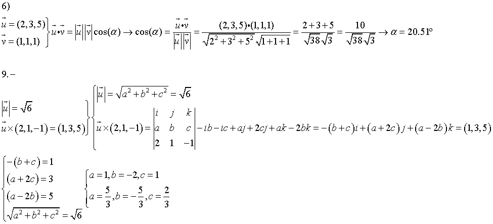
si alguien me explica el 6 y el 9 ya que no se como hacerlo lo agradecería, gracias
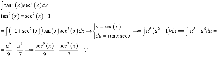
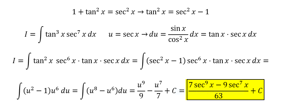
buenas tardes ... miren ... evo dias tratando de resolver este ejercicio y apenas he llegado a esto ... alguien me puede decir exactamente que estoy haciendo mal en cada paso???
Buenas Señores Unicoos
Me pueden ayudar con este problema
Aplicaciones de las integrales en general.
Dentro de los tipos de software existentes están los compiladores. Los cuales dentro de su función principal es convertir las líneas de código de un lenguaje de programación de alto nivel a uno de más bajo nivel. Un software compilador X realiza dicha función a una velocidad dada por la expresión v(t)=te^t, donde v(t) es la velocidad de conversión en líneas por segundo y t es el tiempo.
i. Calcule la ecuación general que describa las líneas transformadas por el compilador X, en cualquier intervalo de tiempo.
ii. Calcule la cantidad de líneas transformadas por el compilador X, entre 2 y 3 segundos.

Se trata de que DESPUES DE IR A CLASE (ver los vídeos relacionados con vuestras dudas) enviéis dudas concretas, muy concretas. Y que nos enviéis siempre también todo aquello que hayais conseguido hacer por vosotros mismos. Paso a paso, esté bien o mal. No solo el enunciado. De esa manera podremos saber vuestro nivel, en que podemos ayudaros, cuales son vuestros fallos.... Y el trabajo duro será el vuestro.