
Vamos con el Método de Sustitución.
Despejas en la primera ecuación, y queda:
x1 = 4 - 2x2 + 3x3 (1).
Luego, sustituyes la expresión señalada (1) en la segunda ecuación, y queda:
3(4 - 2x2 + 3x3) - x2 + 5x3 = 2, distribuyes el primer término, reduces términos semejantes, y queda:
12 - 7x2 + 14x3 = 2, restas 12 en ambos miembros, y queda:
-7x2 + 14x3 = -10, divides por -7 en todos los términos, y queda:
x2 - 2x3 = 10/7, y de aquí despejas:
x2 = 2x3 + 10/7 (2).
Luego, sustituyes la expresión señalada (2) en la ecuación señalada (1), y queda:
x1 = 4 - 2(2x3 + 10/7) + 3x3, distribuyes el segundo término en el segundo miembro, y queda:
x1 = 4 - 4x3 - 20/7 + 3x3, reduces términos semejantes, y queda:
x1 = 8/7 - x3 (3).
Luego, sustituyes las expresiones señaladas (3) (2) en la tercera ecuación del sistema de tu enunciado, y queda:
4(8/7 - x3) + (2x3 + 10/7) + (a2-14)x3 = a+2, distribuyes los dos primeros términos, y queda:
32/7 - 4x3 + 2x3 + 10/7 + (a2-14)x3 = a+2, reduces términos semejantes, y queda:
6 - 2x3 + (a2-14)x3 = a+2, restas 6 en ambos miembros, y queda:
-2x3 + (a2-14)x3 = a-4, extraes factor común en el primer miembro, y queda:
(-2+a2-14)x3 = (a-4), reduces términos semejantes y ordenas términos en el agrupamiento del primer miembro, y queda:
(a2-16)x3 = (a-4), factorizas el agrupamiento del primer miembro, y queda:
(a-4)(a+4)x3 = (a-4) (4);
luego, tienes tres opciones:
1°)
si a-4 ≠ 0 y a+4 ≠ 0, que corresponde a: a ≠ 4 y a ≠ -4, divides por (a-4) y por (a+4) en ambos miembros de la ecuación señalada (4), simplificas, y queda:
x3 = 1/(a+4), }
y solo queda que sustituyas esta expresión en las ecuaciones señaladas (2) (3) (te dejo la tarea), y tendrás las tres expresiones de la solución única del sistema de tu enunciado;
2°)
si a = -4, reemplazas en la ecuación señalada (4), y queda:
-8(0)x3 = -8, resuelves el primer miembro, y queda:
0 = -8,
que es una identidad absurda, por lo que tienes que el sistema de tu enunciado es incompatible y no tiene solución;
3°)
si a = 4, reemplazas en la ecuación señalada (4), y queda:
0(8)x3 = 0, resuelves el primer miembro, y queda:
0 = 0,
que es una identidad verdadera, por lo que tienes que el sistema de tu enunciado es compatible indeterminado y tiene infinitas soluciones (te dejo la tarea de expresarlas).
Espero haberte ayudado.
Hola. No entiendo la deducción que sigue este ejemplo para pasar de la primera matriz a la segunda. Por favor, ¿alguien me lo podría explicar?
Muchas gracias

¡Hola! Nos encantaría ayudarte, pero no solemos responder dudas universitarias que no tengan que ver específicamente con los vídeos que David Calle ha grabado como excepción. O de otras asignaturas que no sean Matemáticas, Física y Química. Lo sentimos de corazón… Esperamos que lo entiendas.
Ojalá algún unicoo universitario se anime a ayudarte (de hecho, lo ideal es que todos los universitarios intentarais ayudaros los unos a los otros).
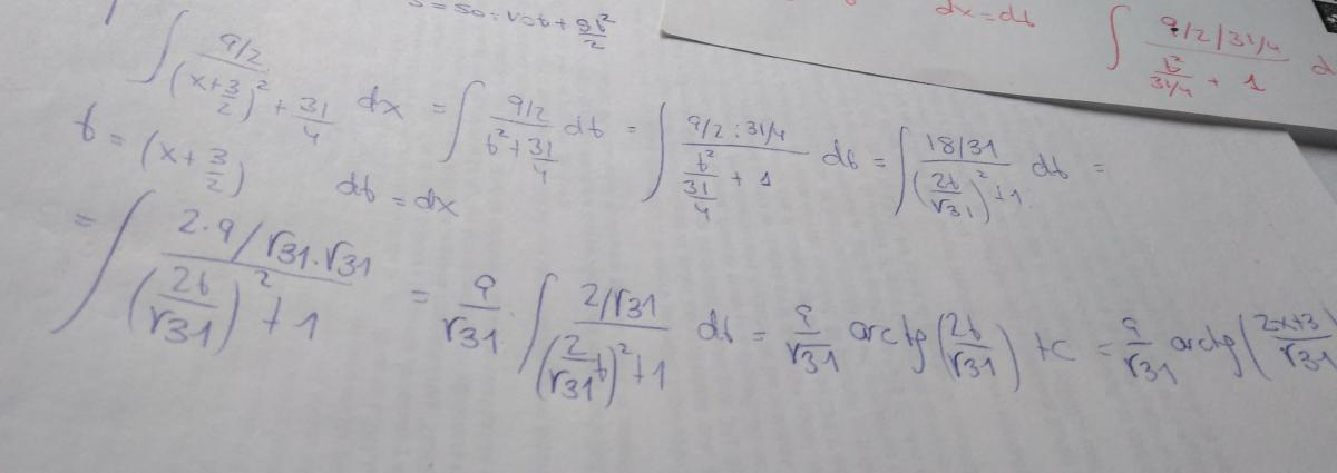
CUAL ES LA INTEGRAL DE (9/2)/((X+3/2)^2+31/4). Se que se trata de convertirla en una integral inmediata de arc tg
Muchas gracias

Se trata de que DESPUES DE IR A CLASE (ver los vídeos relacionados con vuestras dudas) enviéis dudas concretas, muy concretas. Y que nos enviéis siempre también todo aquello que hayais conseguido hacer por vosotros mismos. Paso a paso, esté bien o mal. No solo el enunciado. De esa manera podremos saber vuestro nivel, en que podemos ayudaros, cuales son vuestros fallos.... Y el trabajo duro será el vuestro.