Hola, en una gráfica como y=2/x, tendríamos solamente una única asíntota horizontal(y=0) y una única asíntota vertical(x=0) verdad? Aunque cada una de las asíntotas está formada por dos ramas, esas dos ramas corresponden a la misma asíntota y, por tanto, solo hay 1 asíntota vertical y 1 horizontal, no?
buenos días por favor este problemita como se resuelve:
En un super mercado se han vendido este mes 2800 botes de refresco, lo que significa un 12 % mas que el mes pasado. ¿cuantos botes se vendieron el mes pasado?
del ej 1, tienes que tener en cuenta si la variable es cualitativa (describe, como su propio nombre indica, cualidades), o cuantitativa (describe cantidades).
El ej 2, pues aquí dejo una foto de la tabla a construir: (sobre la tabla; xi marca de clase, frecuencia absoluta (fi o ni, no sé como te lo ponen en clase), frecuencia relativa (hi normalmente se suele nombrar). Echa un vistazo al libro y apuntes, seguro que lo verás mejor.![]()
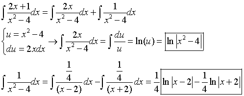
Buenas noches, tengo una duda con respecto a este problema:

Luego de pensarlo mucho sin llegar a una conclusión por la contradicción que presenta al decir que X ≠ -1 e Y ≠ 2, decidí ver el solucionario.

Me sorprende la solución del problema, pero me gustaría conocer un poco más al respecto. Lo que yo concluyo de la resolución es: x+1 es 0 porque x tiene que ser necesariamente -1 para que al ser elevado al cubo me de -1. Sin embargo, en las indicaciones del sistema me dicen que x no puede ser -1, por lo tanto x+1 no puede ser 0 pero esto es una contradicción y por ende es algo imposible, o sea no existe y es por eso que ellos en la resolución descartan esa parte de la expresión (x+1) y se quedan con el resto (x2-x+1) y a partir de ahí el problema ya se puede resolver con naturalidad (lo mismo con la otra expresión).
Mi pregunta es, ¿es mi manera de razonar correcta? Quizá parezca que estoy describiendo lo que dice la resolución sin más pero realmente intento entender porque ellos descartan (x+1) de la expresión, es la primera vez que veo algo así.
Estoy aprendiendo todo esto por mi cuenta y no me quisiera quedar con una conclusión errónea.
Gracias de antemano.
Alguien podría ayudarme con la geometría óptica del ácido glutaminico ? O si pueden recomendarme algún video o algo porque no llegue a dar esos temas y ahora estoy bastante perdida