En la función: y= x*2 si x < 2, y=1 si x=2, habría una discontinuidad evitable de punto desplazado en x=2? Yo creo que sí

En este caso, el Dominio de la función solo es el intervaki (-infinito, 2], porque no existe la función cuando x>2. Mi duda es que para una discontinuidad evitable solo he visto ejemplos con puntos vacíos y función por los dos lados. ¿Podría haber una discontinuidad evitable solo con un lado de la función, sin existir el otro ?
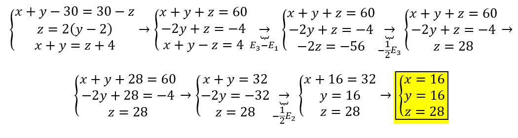
Lo tengo bien?
Dominio: (-9,-2]U (0,+∞)
Puntos de corte: no tiene
Asíntotas: AV hacia la derecha en (-9,9)
Continuidad:
discontinuidad de salto en (-7,5)
discontinuidad evitable en (-5,6)
-- falta algo---
INTERVALOS DE CRECIMIENTO Y DECRECIMIENTO:
(-9,6) decrece, [-6,-4) crece, (-4,-3] decrece, (0,2) decrece, (2,+∞) crece
EXTREMOS RELATIVOC Y ABSOLUTOS:
Minimo absoluto: (-7,3)
máximo relativo: (-4,7)
INTERVALOS DE CONCAVITAT Y CONVEXIDAD: no se que es...
Puntos de inflexión: no sé que es
SIMETRIA: no tiene
PERIODICIDAD: no tiene

En el Dominio te falta la falta de imagen en x=-5 y la asíntota vertical x= 2, quedando; (-9,-5) u (-5, -2] u (0, 2) u (2, + infinito), discontinuidad de salto infinito en x=2, los intervalos de crecimiento; la mayoría mal (fíjate en los números); mínimo absoluto no existe pues la función va a -infinito en la y. Por lo demás, bien.
buenas tardes tengo un problema de estadística que no se resolver , no se si es porque le falta algún dato o porque hasta ahora yo he resuelto con dos incógnitas pero no con tres.
se ha realizado una encuesta entre 100 personas respecto al numero de cafés que toman diariamente. la información obtenida aparece resumida en la siguiente tabla:
nº de cafés frecuencia frecuencia
diarios absoluta relativa
0 25 0.25
1 20 0.2
2 X Y
3 15 0.15
4 Z 0.05
a) completar los datos que faltan en la tabla (x,y,z)
b) ¿que porcentaje de personas toman mas de 2 cafés diarios?
c) obtener la media de cafés diarios para ese colectivo

a)
Observa que si llamas N a la cantidad total de personas entrevistadas, entonces tienes a partir de los datos de la primera línea de tu tabla (recuerda la expresión de la frecuencia relativa: fr = fa/N):
0,25 = 25/N, y de aquí despejas: N = 100;
Luego, tienes para la última línea de tu tabla:
0,05 = z/N, reemplaza el valor remarcado, y queda:
0,05 = z/100, y de aquí despejas: z = 5.
Luego, sumas los valores de las frecuencias absolutas, y queda:
25 + 20 + x + 15 + z = N, reduces términos semejantes, reemplazas los valores remarcados, y queda:
60 + x + 5 = 100, restas 65 en ambos miembros, y queda: x = 35.
Luego, tienes a partir de los datos de la tercera línea de tu tabla:
y = x/N, reemplazas los valores de los datos remarcados, resuelves, y queda: y = 0,35.
b)
Sumas los valores de las frecuencias relativas de las dos últimas líneas de tu tabla, y queda:
0,15 + 0,05 = 0,2;
luego, multiplicas a este último valor por 100, y la expresión porcentual queda: pb = 20 %.
c)
Planteas la expresión de la media ponderada en función de las frecuencias relativas, y queda:
μ = 0*0,25 + 1*0,2 + 2*0,35 + 3*0,15 + 4*0,05 = 0 + 0,2 + 0,7 + 0,45 + 0,2 = 1,55.
Espero haberte ayudado.

Observa que has planteado la expresión del área total de un cono (suma de su área lateral más el área de la base), pero observa que la base de la porción cónica del sólido está unida a la base superior de la porción cilindrica, por lo que está base común a las dos porciones es interior al sólido, por lo que no debes contar a esta base común para calcular el área total del sólido, cuyas "caras" son tres: la base inferior de la porción cilíndrica, el área lateral de dicha porción, y el área lateral de la porción cónica.
Espero haberte ayudado.
Como represento la función?
I 2x - 5 I
como es un valor absoluto, tenemos una función definida a trozos, en la cual la parte positiva queda mayor o igual a cero (2x-5≥0), y la parte negativa menor que cero (-2x+5<0).
Como no sé de qué curso eres, para seguir bien obtienes valores con la tabla, y también estudiar la continuidad y derivabilidad de la función en el punto de discusión (x=0 en este caso)

Tienes las ecuaciones cartesianas paramétricas de la recta r, y de ella tienes que un vector director para ella es:
ur = < 2 , -3 , 1 >.
Tienes un sistema de ecuaciones cartesianas implícitas, que muestra la intersección de dos planos determina a la recta s, por lo que puedes plantear que un vector director de esta recta es igual al producto vectorial de los vectores normales de los planos, y tienes:
us = n1 x n2 = < 2 , -3 , 0 > x < 1 , 0 , -2 > = < 6 , 4 , 3 >.
Luego, a fin de investigar si las rectas son paralelas, planteas el producto escalar de los dos vectores directores, y queda:
ur x us = < 2 , -3 , 1 > x < 6 , 4 , 3 > = < -13 , 0 , 26 > ≠ < 0 , 0 , 0 >,
por lo que tienes que los vectores directores o son paralelos, por lo que puedes afirmar que las rectas no son paralelas.
Luego, a fin de investigar si las rectas se cortan, sustituyes las expresiones de las ecuaciones cartesianas paramétricas de la recta r en las ecuaciones de los planos que determinan a la recta s, y queda el sistema:
2(1+2λ) - 3(3-3λ) = 13,
1+2λ - 2(-2+λ) = a - 3;
luego, distribuyes y reduces términos semejantes en los primeros miembros de las ecuaciones, y queda:
13λ - 7 = 13,
5 = a - 3;
luego, sumas 7 en ambos miembros de la primera ecuación, sumas 3 en ambos miembros de la segunda ecuación, y queda:
13λ = 20,
8 = a;
luego, tienes dos opciones:
1°)
Si 8 ≠ a, entonces tienes que el sistema de ecuaciones es incompatible y, por lo tanto, tienes que las rectas no se cortan, y como ya tienes que no son paralelas, puedes concluir que la recta r y la recta s son alabeadas;
2°)
Si 8 = a, entonces tienes que el sistema de ecuaciones es compatible determinado, por lo que divides por 13 en ambos miembros de su primera ecuación, y queda: λ = 20/13;
luego, reemplazas este valor en las ecuaciones cartesianas paramétricas de la recta r, y queda:
x = 1 + 2(20/13) = 1 + 40/13 = 53/13,
y = 3 - 3λ = 3 - 3(20/13) = 3 - 60/13 = -21/13,
z = -2 + 20/13 = -6/13,
por lo que tienes que las rectas r y s son secantes, y se cortan en el punto: A(53/13,-21/13,-6/13).
Espero haberte ayudado.

Si, has hecho correctamente todo el procedimiento.
Solo observa que antes de calcular el límite del exponente, puedes extraer factor común (n) y simplificar en el argumento del límite, para luego hacer un cálculo auxiliar para mostrar que el límite del exponente es infinito y, por lo tanto, tienes que el límite de tu enunciado es +infinito.
Espero haberte ayudado.