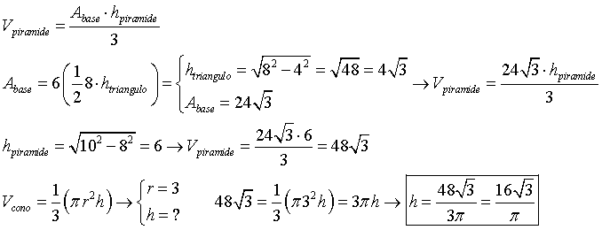
Una piramide hexagonal tiene las siguientes medidas:
lado de la base 8 cm y altura de la cara lateral 10 cm. Calcular la altura que debe tener un cono de radio de la base 3 cm. para que la piramide anterior y el cono tengan el mismo volumen
Hola., estaba resolviendo este ejercicio y me quedé hasta donde se ve.. pero una aplicación lo resolvió y noté que para continuar pone la parte derecha de la igualdad a la izquierda?? y no entiendo, yo entendía que hay que resolver el lado más complicado hasta llegar al del otro lado y ya.. ¿? ayúda?

Se trata de que DESPUES DE IR A CLASE (ver los vídeos relacionados con vuestras dudas) enviéis dudas concretas, muy concretas. Y que nos enviéis siempre también todo aquello que hayais conseguido hacer por vosotros mismos. Paso a paso, esté bien o mal. No solo el enunciado. De esa manera podremos saber vuestro nivel, en que podemos ayudaros, cuales son vuestros fallos.... Y el trabajo duro será el vuestro.
Buenos días UNICOOS, necesito que me resolváis el siguiente ejercicio. Durante 1 mes se han tomado las temperaturas minímas, con los siguientes resultados
15,14,14,13,12,12,14,11,13,14,
A) Construye la tabla de frecuencias absolutas, frecuencias relativas y porcentajes.
B) Dibuja un diagrama de barras de frecuencias absolutas y su polígono de frecuencias.

Estadística - Diagrama de barras y Sectores
Estadística 02- Porcentajes y diagrama de sectores
Espero que te ayude, un saludo. Javi Tinoco