Hola! Alguien me puede decir si esta función a trozos está bien hecha? (Una de las partes es un valor absoluto)
Graciaaas!
Hola! Si, está bien graficada!
Un consejo: fijate de marcar bien la diferencia entre la gráfica de una función cuadrática y una función valor absoluto porque parecen dos funciones tipo valor absoluto y tiende a confusión. Tratá de marcar bien la U de la parábola en el punto (1,0). Me explico?
Hola, me podríais resolver estos dos problemas. Gracias de antemano.
Halla el área y el volumen de una pirámide de 6cm de arista base y 10 cm de altura.
Halla el área y el volumen de un cilindro de 3 cm de radio y 5cm de generatriz.
simplifica al máximo las siguientes expresiones, expresando el resultado al ser posible como producto de factores
x2-2x * x2+4x+4 * (x -2) (x-3) =
x2-5x+6 x2 -4 (x+2)

Vamos con cada factor y con cada divisor por separado:
x2-2x = extraes factor común = x(x-2),
x2+4x+4 = factorizas este trinomio cuadrado perfecto = (x+2)2,
(x-2)x+3) ya lo tienes factorizado,
x2-5x+6 = (x-2)(x+3) (aquí hemos factorizado por medio de la fórmula resolvente para ecuaciones cuadráticas),
x2-4 = factorizas esta resta de cuadrados perfectos = (x+2)(x-2),
(x+2) es un binomio elemental.
Luego, sustituyes todas las expresiones factorizadas, y la expresión de tu enunciado queda:
x(x-2) / (x-2)(x-3) * (x+2)2 / (x+2)(x-2) * (x-2)(x-3) / (x+2) =
simplificas factores y divisores remarcados, y queda:
= x/(x-3) * (x+2)/(x-2) * (x-2)(x-3)/(x+2) =
resuelves la multiplicación de expresiones algebraicas fraccionarias, y queda
= x(x+2)(x-2)(x-3) / (x-3)(x-2)(x+2) =
simplificas factores y divisores remarcados, y queda:
= x.
Espero haberte ayudado.

Me encantaría ayudarte, pero no respondo dudas universitarias que no tengan que ver específicamente con los videos que ya he grabado como excepcion. O de otras asignaturas que no sean matemáticas, física y química. Lo siento de corazón… Espero lo entiendas
Ojalá algun unicoo universitario se anime a ayudarte (de hecho lo ideal es que todos los universitarios intentarais ayudaros los unos a los otros)
Hola, os agradecería que me ayudarais a resolver este problema:
En el curso primero de la ESO hay 2 grupos (a y b) y se ha realizado un examen. Sabemos que el 75 por ciento de los aprobados pertenece al grupo a. Si entre los dos grupos hay 40 alumnos, ¿Cuántos alumnos en total, entre los dos grupos, han suspendido?
buenas tardes tengo una lista de ejercicios pero hay dos que no se realizar si me los podéis explicar , gracias.
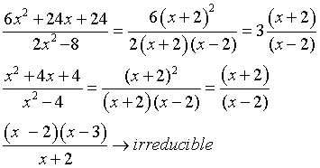
simplifica al máximo las siguientes expresiones, expresando el resultado al ser posible como producto de factores
a) 6x2+24x+24 =
2x2 -8
b) x2-2x * x2+4x+4 * (x -2) (x-3) =
x2-5x+6 x2 -4 (x+2)
Me dieron estas 4 preguntas pero no logro comprenderlas, me dicen justificar, logre graficarlas, las dos primeras son diferentes pero no se si estan bien!, ayuda porfa
Si f es una funcion, entonces f(x + 2) = f(x) + f(2).
Si f es una funcion, entonces f(3x) = 3f(x).
Si 0 < a < b, entonces ln(a) < ln(b).
Si x > 0, entonces (ln(x))6 = 6ln(x).