Foro de preguntas y respuestas de Matemáticas

logo beUnicoos
Los foros de unicoos se han unificado en nuestra nueva plataforma beUnicoos. Para dejar nuevas preguntas deberás hacerlo allí, donde además podrás encontrar nuevas asignaturas y herramientas para ayudarte más con tus estudios.

  • icon

    Ane
    el 4/4/19

    Como se hace la división: x3/x2-1   y   x3-3x2+x-1/x-2

    replythumb_up0 voto/sflag
    icon

    Antonius Benedictus
    el 4/4/19

    La otra, por Ruffini.

    thumb_up1 voto/sflag
  • icon

    Erika Fernanda
    el 4/4/19

    Cuantos vectores fijos distintos y cuantos vectores libres determinan los cuatro vértices de un rectangulo

    replythumb_up0 voto/sflag
    icon

    Antonius Benedictus
    el 4/4/19

    12 vectores fijos (2x4 lados y 2x2 diagonales) distintos.

    8 vectores libres ( 2x2 lados y 2x2 diagonales) distintos.

    thumb_up0 voto/sflag
  • icon

    Emmanuel Chelini
    el 4/4/19

    Hola! Me ayudarían a resolver ésta ecuación..


    2x^{3}-3x^{2}-24x-64=0

    replythumb_up0 voto/sflag
    icon

    Antonius Benedictus
    el 4/4/19

    Esta ecuación de tercer grado no tiene raíces racionales. La resolución de la ecuación general de tercer grado no forma parte del currículo español de Secundaria y Bachillerato. Un saludo,



    thumb_up0 voto/sflag
    icon

    Antonio Silvio Palmitano
    el 4/4/19

    Busca el vídeo sobre Fórmula de Cardano, aquí en Unicoos, y tendrás una manera para resolver ecuaciones polinómicas cúbicas.

    Espero haberte ayudado.

    thumb_up0 voto/sflag
  • Usuario eliminado
    el 4/4/19

    Hola, como se resolveria el limite B?

    replythumb_up0 voto/sflag
    icon

    Antonius Benedictus
    el 4/4/19


    thumb_up0 voto/sflag
  • icon

    David sanchez gil
    el 4/4/19

    Necesito resolver el siguiente sistema por cramer

    replythumb_up0 voto/sflag
  • icon

    Antonio Omg
    el 4/4/19

    alguien sabe?

    replythumb_up0 voto/sflag
    icon

    Antonius Benedictus
    el 4/4/19


    thumb_up0 voto/sflag
    icon

    César
    el 4/4/19


    thumb_up0 voto/sflag
  • icon

    German Adolfo Parra Florez
    el 4/4/19

    Ejercicio

    A continuación se presenta un plano del primer piso de una casa en dos dimensiones: la medida del lado de cada cuadrado es de un metro, se omiten paredes internas, puertas y ventanas para facilitar los cálculos. 

    A. Por seguridad el propietario quiere colocarle cerca eléctrica a la casa, para esto debe conocer ¿Cuántos metros lineales de cerca necesita?. Use técnicas de integración y en el caso que la integral no tenga primitiva, puede usar un software y coloque la imagen del resultado que con él obtiene. 

    replythumb_up0 voto/sflag
    icon

    César
    el 4/4/19

    Requiere Integrales elípticas que se sale del ámbito de la página.

    thumb_up0 voto/sflag
  • icon

    Elena Juzgado López
    el 4/4/19

    Hola de nuevo a todos.

    ¿Alguien podría decirme si hay algún vídeo sobre calcular potencias de puntos a una circunferencia, o cómo se resuelve el siguiente ejercicio?

    Calcular la potencia de los puntos P(5,2), Q(2,1) y R(-1,0) a la circunferencia C: x2+y2-6x-4y-9=0.

    replythumb_up0 voto/sflag
    icon

    Antonius Benedictus
    el 4/4/19


    thumb_up1 voto/sflag
  • icon

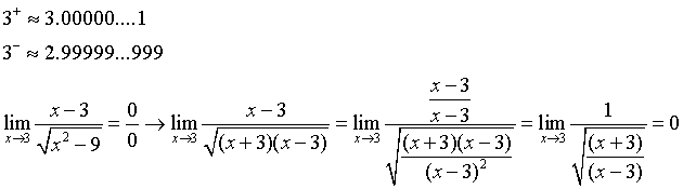
    lbp_14
    el 4/4/19

    Hola Unicoos, tengo una duda, Al calcular el límite de 3+ significa que tengo que sustituir en f(x) por (3,01) ? Y viceversa? Y cuando es -3^ -  tendría que sustituir por (-3,01)? 

    Y en el último apartado sería incorrecto calcular ambos límites por la izda y dcha?

    Me ayudarían mucho con esa duda de los signos. Muchas gracias.


    replythumb_up0 voto/sflag
    icon

    César
    el 4/4/19



    thumb_up1 voto/sflag
  • icon

    Jose Solis Palomino
    el 3/4/19

    ¿Como se hace la integral definida de una funcion definida a trozos?

    replythumb_up0 voto/sflag
    icon

    Antonius Benedictus
    el 3/4/19

    Sumando las integrales definidas de cada uno de ellos.

    thumb_up0 voto/sflag