Foro de preguntas y respuestas de Matemáticas

logo beUnicoos
Los foros de unicoos se han unificado en nuestra nueva plataforma beUnicoos. Para dejar nuevas preguntas deberás hacerlo allí, donde además podrás encontrar nuevas asignaturas y herramientas para ayudarte más con tus estudios.

  • icon

    Alvaro Fernandez
    el 3/4/19

    Buena tardes. Tengo una duda en calcular el Dominio de f(x)= √(x+1/x-1) . Mi respuesta sería que el Dom f(x) es (1,+∞). Pero ahora veo en la solución que también cogen los valores de (-∞,-1) y no se por qué, ya que no puede contener una raíz valores negativos

    replythumb_up0 voto/sflag
    icon

    Antonius Benedictus
    el 3/4/19


    thumb_up1 voto/sflag
  • icon

    Ashet Lihynim
    el 3/4/19

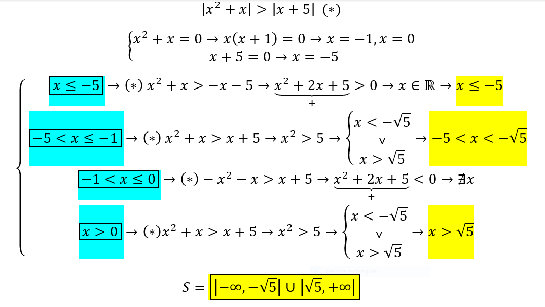
    Hola disculpen, tengo un problema que he tratado de resolverlo pero no me sale. el ejercicio es x^4-3x^2-6x-2<0 
    Segun se ve sale <1-√2,1+√2> pero no me sale por mas que lo haya intentado.

    replythumb_up0 voto/sflag
    icon

    Antonius Benedictus
    el 3/4/19


    thumb_up1 voto/sflag
  • icon

    Adela
    el 3/4/19

    Alguien podría ayudarme? En la m, la solución me dio (-∞,-2,2) U (2,2, ∞) , es correcto o no?

    replythumb_up0 voto/sflag
    icon

    Antonius Benedictus
    el 3/4/19


    thumb_up0 voto/sflag
  • icon

    Nicolas
    el 3/4/19

    ¿me podriasis ayudar con estos ejercicios please?

    replythumb_up0 voto/sflag
    icon

    César
    el 3/4/19


    thumb_up0 voto/sflag
  • icon

    Joao
    el 3/4/19

    Alguien me puede ayudar con este ejercicio por favor, me salio en el último examen no logró hacerlo y mañana es la recuperacion

    replythumb_up0 voto/sflag
    icon

    Antonius Benedictus
    el 3/4/19


    thumb_up1 voto/sflag
  • icon

    Cristina Iglesias
    el 3/4/19


    No no soy capaz d rsolverlo

    replythumb_up0 voto/sflag
    icon

    Antonius Benedictus
    el 3/4/19

    Pon foto del enunciado original.

    thumb_up0 voto/sflag
    icon

    César
    el 3/4/19


    thumb_up0 voto/sflag
  • icon

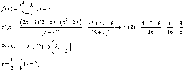
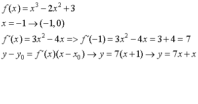
    Cristina Iglesias
    el 3/4/19

    tengo que hallar la ec de la recta tangente en el punto x=-1 podríais decirme si es correcto así 

    replythumb_up0 voto/sflag
    icon

    Antonius Benedictus
    el 3/4/19

    Revisa cuál f(x) corresponde al enunciado.

    Por lo demás, el procedimiento es correcto.


    thumb_up0 voto/sflag
    icon

    César
    el 3/4/19


    thumb_up0 voto/sflag
  • icon

    Duke D.
    el 3/4/19
    flag

    Hola buenas, podrían hacer un video sobre la "Inducción Matemática", muchas gracias 

    replythumb_up0 voto/sflag
    icon

    Breaking Vlad
    el 3/6/19

    Hola Duke,

    gracias por la idea, la anotamos. Aunque te recuerdo que este es un foro de dudas.

    thumb_up0 voto/sflag
  • icon

    Ana Maria Mendoza Castillejo
    el 3/4/19

    Por favor, necesito ayuda. De ante mano, muchas gracias 🤗

    replythumb_up0 voto/sflag
    icon

    Antonius Benedictus
    el 3/4/19


    thumb_up1 voto/sflag
    icon

    Ana Maria Mendoza Castillejo
    el 3/4/19

    Muchas gracias nn

    thumb_up1 voto/sflag
  • icon

    Sergio Sangiani
    el 3/4/19

    Buenas, alguien me ayuda a resolver estos problemas. Gracias!

    Problema 1 : Una bomba se hace funcionar durante tres dias para llenar una pileta. en el primer dia se lleno 1/3; el 2do dia 40% y el 3ro la cuarta parte del total. Para llenarse faltan 200 litro.

    ¿que parte se lleno?¿en que dia se lleno mas? ¿con cuantos litros se cargo la pileta?



    Problema 2 : En una carrera de autos se reparten proporcionalmente $25.000 entre los que subieron al podio. si tardan 12,15 y 30 minutos respectivamente ¿cuanto $ le corresponde a cada uno?

    replythumb_up0 voto/sflag
    icon

    Antonio
    el 3/4/19

    1)

    en el primer dia se lleno 1/3;

    el 2do dia 40%= 40/100 = 2/5

    el 3ro la cuarta parte del total = 1/4

    Para llenarse faltan 200 litro

    1/3x+2/5x+1/4x+200=x

    resolvemos

    20/60x+24/60x+15/60x+12000/60=60/60x

    20x+24x+15x+12000=60x
    -x=-12000

    x=12000litros

    ¿que parte se lleno? 59/60

    ¿en que dia se lleno más? el segundo con 4800 litros

    ¿con cuántos litros se cargo la pileta? 12000-200=11800 litros



    2) 12+15+30=57

    25000/57=438.6

    438.6·12=$5263.2

    438.6·15=$6579

    438.6·30=$13158


    thumb_up0 voto/sflag
    icon

    Sergio Sangiani
    el 4/4/19

    gracias profe

    thumb_up0 voto/sflag
    icon

    Sergio Sangiani
    el 6/4/19

    Solo una duda profe, el 59/60 como lo obtuvo?

    thumb_up0 voto/sflag