Buenas noches, podríais ayudarme con la representación de esta función?? tengo que dibujar la función y también dibujar las asíntotas! me sale una cosa rara en la representacíon.... gracias!!!
f(x)= (4+2x^2-x^3)/x^2

Vamos con una orientación.
Tienes la expresión de la función, cuyo dominio es: D = (-∞,0)∪(0,+∞).
Luego, distribuyes el denominador entre todos los términos de la expresión, y queda:
f(x) = 4/x2 + 2x2/x2 - x3/x2, simplificas en los dos últimos términos, y queda:
f(x) = 4/x2 + 2 - x, ordenas términos, y queda:
f(x) = -x + 2 + 4/x2, que es la forma estándar de la función.
Luego, observa que en ella tienes dos expresiones:
1°)
la "Parte dominante en ±infinito", cuya expresión es:
y = -x + 2,
cuya gráfica es una recta, y corresponde a una asíntota oblicua de la gráfica de la función;
2°)
la "Parte dominante en la discontinuidad (x = 0, en este caso)", cuya expresión es:
y = 4/x2,
cuya gráfica es una "curva asintótica" de la gráfica de la función;
por lo que tienes que las dos gráficas permiten esbozar la gráfica de la función, de acuerdo a los límites:
Lím(x→±∞) f(x) = Lím(x→±∞) (-x + 2 + 4/x2),
y como el último término tiende a cero, entonces tienes que la gráfica de la función se acerca a la gráfica de la asíntota oblicua cuando x tiende a +infinito o a -infinito;
Lím(x→0) f(x) = Lím(x→±∞) (-x + 2 + 4/x2),
y como el primer término tiende a cero, el segundo es constante y el tercero tiende a +infinito, entonces tienes que la gráfica de la función se acerca a la curva asintótica cuando x tiende a cero por la izquierda o por la derecha.
Queda que hagas el gráfico.
Espero haberte ayudado.
Sea f(x)=4-|x| obtener
A) el valor promedio de f en el intervalo [-4,1]
B) el valor o los valores de c que pertenecen [-4,1] cuya existencia garantiza el teorema del valor medio del cálculo integral.
Hice eso, porque así nos lo pide la maestra, pero tengo duda en cuanto a si mi área está bien calculada. ![]()
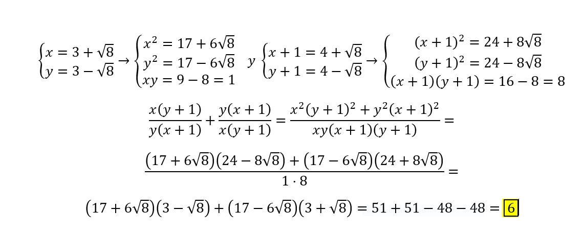
Buenos días, tengo una duda con la resolución de este problema.
Yo lo resuelvo así:

Pero al revisar la resolución del libro es mucho mas rápida y sencilla.

Sin embargo noto que ellos han sumado ambas fracciones de frente siendo que ambas tienen denominador distinto, ¿estoy olvidando algo o es un error del libro?

¡Hola! Nos encantaría ayudarte, pero no solemos responder dudas universitarias que no tengan que ver específicamente con los vídeos que David Calle ha grabado como excepción. O de otras asignaturas que no sean Matemáticas, Física y Química. Lo sentimos de corazón… Esperamos que lo entiendas.
Ojalá algún unicoo universitario se anime a ayudarte (de hecho, lo ideal es que todos los universitarios intentarais ayudaros los unos a los otros).
(2-3x)^2+(3+5x)^2-(4-2x)^2 (2 ESO))

Si te piden reducir a la mínima expresión, entonces desarrollas los binomios elevados al cuadrado, y queda:
(4 - 12x + 9x2) + (9 + 30x + 25x2) - (16 - 16x + 4x2);
luego, distribuyes los signos en los agrupamientos, y queda:
4 - 12x + 9x2 + 9 + 30x + 25x2 - 16 + 16x - 4x2;
asocias términos constantes, asocias términos lineales, asocias términos cuadráticos, y queda:
(4 + 9 - 16) + (-12x + 30x + 16x) + (9x2 + 25x2 - 4x2);
reduces términos semejantes en los agrupamientos, y queda:
-3 + 34x + 30x2.
Espero haberte ayudado.

Observa que las cuatro paredes exteriores tienen: ancho: ae = 4 u, y alto: he = 2 u,
por lo que el área de una pared exterior queda: Ape = ae*he = 4*2 = 8 u2,
y el área total de las cuatro paredes exteriores queda: Ae = 4*Ape = 4*8 = 32 u2.
Observa que las cuatro paredes interiores tienen: ancho: ai = 2 u, y alto: hi = 2 u,
por lo que el área de una pared exterior queda: Api = ai*hi = 2*2 = 4 u2,
y el área total de las cuatro paredes exteriores queda: Ai = 4*Api = 4*4 = 16 u2.
Luego, tienes que el área total para construir las ocho paredes queda:
Ap = Ae + Ai = 32 + 16 = 48 u2.
Espero haberte ayudado.