Foro de preguntas y respuestas de Matemáticas

logo beUnicoos
Los foros de unicoos se han unificado en nuestra nueva plataforma beUnicoos. Para dejar nuevas preguntas deberás hacerlo allí, donde además podrás encontrar nuevas asignaturas y herramientas para ayudarte más con tus estudios.

  • icon

    Y3
    el 1/4/19

    A mi me sale 3/4... Alguien sabe qué paso se sigue? Thanks

    replythumb_up0 voto/sflag
    icon

    Uriel Dominguez
    el 1/4/19

    Si está bien lo que a ti te sale. 

    thumb_up0 voto/sflag
  • icon

    Y3
    el 1/4/19

    Si sacamos las x del radicando me sale 1... Qué opinan?

    replythumb_up0 voto/sflag
    icon

    Uriel Dominguez
    el 1/4/19

    Del ejercicio que señalas, sería mejor introducir la x de mayor grado que sacarla pero primero podrías hacer el conjugado y te quedaría;

    (x(x+3))/ √x+3 (x+5) y la x de mayor grado sería x² y de ahí a dividir todo entre eso y si no me equivoco sale infinito, espero te sirva un poquito. 

    thumb_up0 voto/sflag
  • icon

    Y3
    el 1/4/19

    Si no está relleno cómo se puede tener en cuenta? Gracias...

    replythumb_up0 voto/sflag
    icon

    César
    el 1/4/19

    Función xy discontinua 11c.svg

    thumb_up1 voto/sflag
  • icon

    johan ayala
    el 1/4/19
    flag

    algún vídeo que me recomiende  de relaciones gravimetricas y volumétricas seria de gran ayuda.

    replythumb_up0 voto/sflag
    icon

    Breaking Vlad
    el 3/6/19

    Hola Johan,

    Anotamos tu petición, gracias. Aunque te recuerdo que este foro es para dudas.

    thumb_up0 voto/sflag
  • icon

    Uriel Dominguez
    el 1/4/19

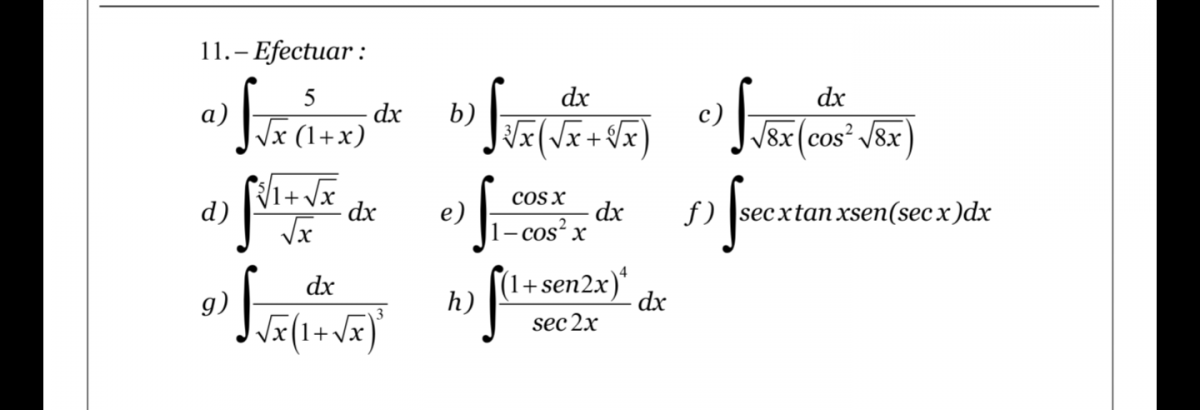
    Me ayudan con el inciso H? Porque no me sale esa integral 

    replythumb_up0 voto/sflag
    icon

    Antonius Benedictus
    el 1/4/19


    thumb_up1 voto/sflag
  • icon

    Y3
    el 1/4/19

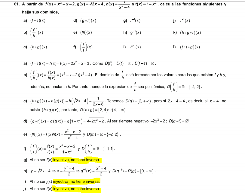
    Cómo puedo saber si es inyectiva o no? Gracias

    replythumb_up0 voto/sflag
    icon

    Uriel Dominguez
    el 1/4/19

    Se dice que una función es inyectiva cuando dos conjuntos, un conjunto a y uno b le corresponde la relación uno a uno, no más, o sea que para cada x hay una "Y" y viceversa, las parábolas, las elipses y las circunferencias no son funciones uno a uno y no se consideran inyectivas, claro... Se considerarían inyectivas si es que están acotadas, puesto que ahí si tendrían valores de uno a uno. 

    thumb_up0 voto/sflag
  • icon

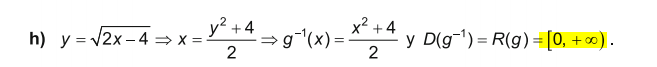
    Y3
    el 1/4/19

    Calculando 2x-4≥0 me da [2, +infinito) Thanks

    replythumb_up0 voto/sflag
    icon

    Antonius Benedictus
    el 1/4/19

    Ese es el dominio, no el recorrido.

    thumb_up0 voto/sflag
  • icon

    Y3
    el 1/4/19

    Para buscar su dominio solo tenemos que tener el cuenta los valores que anulan el denominador del resultado? Gracias

    replythumb_up0 voto/sflag
    icon

    Antonius Benedictus
    el 1/4/19

    En este caso, sí.

    thumb_up0 voto/sflag
  • icon

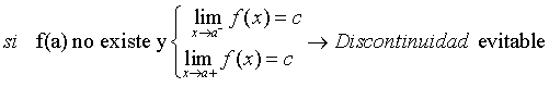
    Y3
    el 1/4/19

    Aquí tengo que calcular los límites?? O debería hacer un estudio completo... Thanks

    replythumb_up0 voto/sflag
    icon

    César
    el 3/4/19

    La expresión analítica es la f(x)


    thumb_up0 voto/sflag
  • icon

    Y3
    el 1/4/19

    No comprendo por qué este se va para +infinito si yo cuando lo resuelvo me da que va para -infinito. Gracias!

    replythumb_up0 voto/sflag
    icon

    David
    el 1/4/19

    El error que cometes es resolver cada inecuación por separado. Debes resolver tal que así: 

    thumb_up0 voto/sflag