Foro de preguntas y respuestas de Matemáticas

logo beUnicoos
Los foros de unicoos se han unificado en nuestra nueva plataforma beUnicoos. Para dejar nuevas preguntas deberás hacerlo allí, donde además podrás encontrar nuevas asignaturas y herramientas para ayudarte más con tus estudios.

  • icon

    william
    el 2/4/19


    Buenas tardes me pueden ayudar a resolver este problema muchas gracias

    tambien si me pueden explicar el metodo de la solucion se los agradeceria muchisimo


    replythumb_up0 voto/sflag
    icon

    Antonius Benedictus
    el 2/4/19


    thumb_up0 voto/sflag
  • icon

    Nepgordo
    el 2/4/19

    Calcula el vector suma en ambos casos

    replythumb_up0 voto/sflag
    icon

    Antonius Benedictus
    el 2/4/19


    thumb_up1 voto/sflag
  • icon

    Alvaro
    el 1/4/19

    No entiendo cómo hallar P(x)

    replythumb_up0 voto/sflag
    icon

    Antonio
    el 1/4/19

    como 8x2+14x=2(2x+1)2+3(2x+1)-5

    tenemos que:

    p(x)=2x2+3x-5

    thumb_up0 voto/sflag
    icon

    Antonius Benedictus
    el 2/4/19


    thumb_up0 voto/sflag
  • icon

    dAmian
    el 1/4/19

    Buenas noches quería ver si tengo bien este ejercicio, me pide que mirando estas tres situaciones indique el tipo de crecimiento, y yo he puesto a) creciente, b) decreciente, c) creciente . Por favor, ¿podrían decirme si está bien? Gracias.


    También me pide que a partir de los datos que se da en la situación A, ¿a qué hora se produce la máxima afluencia de espectadores? Entonces cómo debería de hacerlo para saberlo.

    replythumb_up0 voto/sflag
    icon

    Antonio
    el 2/4/19

    a) crece desde el 0 hasta el 1 y decrece desde el 2 hasta el 3

    b) decreciente

    c) creciente

    a la hora de abrir, es decir a las 1:00

    te paso la gráfica de la función de la situación a)


    thumb_up0 voto/sflag
  • icon

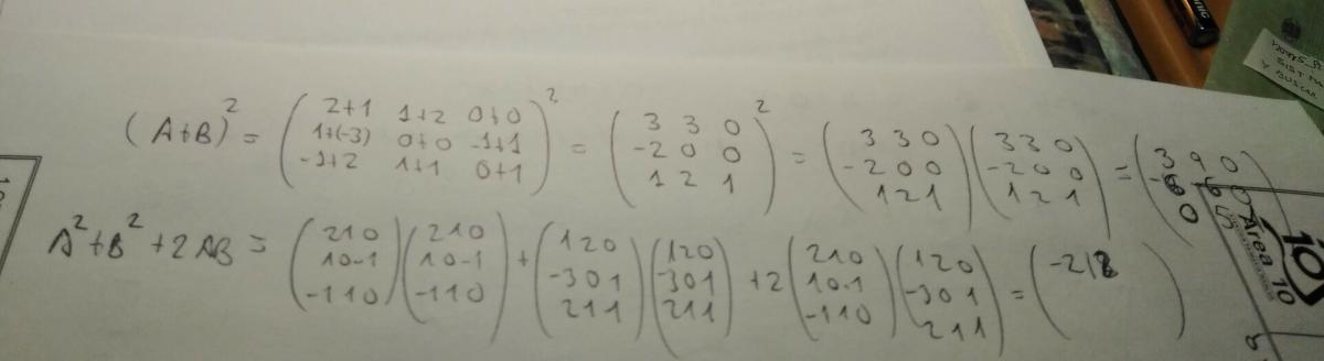
    Mohamed Akechta
    el 1/4/19

    necesito la solución y el desarrollo de estos ejercicios para compararlos con los míos. gracias 

    replythumb_up0 voto/sflag
    icon

    Antonius Benedictus
    el 1/4/19


    thumb_up1 voto/sflag
    icon

    David
    el 1/4/19


    thumb_up1 voto/sflag
    icon

    Antonius Benedictus
    el 1/4/19


    thumb_up1 voto/sflag
    icon

    Mohamed Akechta
    el 3/4/19

    el apartado c del primer ejercicio no lo entiendo, lo de no conmuntan 

    thumb_up0 voto/sflag
  • icon

    Y3
    el 1/4/19

    No consigo comprender este paso, alguna idea? Gracias y perdón por ser tan excesiva preguntado, queda poco para el examen jeje

    replythumb_up0 voto/sflag
    icon

    David
    el 1/4/19

    m y n son las incógnitas del sistema de ecuaciones planteado tras hacer los límites, de ahí salen los resultados. Si tienes dudas aún, tu pregunta, que quien siente curiosidad y duda es porque se ha molestado en estudiarlo. Quien no tiene dudas es porque, o se lo sabe muy bien o no se lo ha mirado.

    thumb_up0 voto/sflag
    icon

    Y3
    el 2/4/19

    Duda detallada:  Cuando se llega a ese paso se sustituye en el valor encontrado, y como es una resta no supe cómo podía sustituirla en la expresión. Gracias.

    thumb_up0 voto/sflag
    icon

    David
    el 2/4/19


    espero aclararte las dudas


    thumb_up0 voto/sflag
  • icon

    Lalo Rodriguez
    el 1/4/19

    como se resuelve  porfavor?

    replythumb_up0 voto/sflag
    icon

    Lalo Rodriguez
    el 1/4/19

    Muchas gracias


    thumb_up1 voto/sflag
  • icon

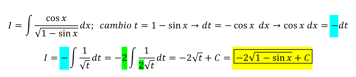
    cas
    el 1/4/19

    esto estaria bien?

    gracias

    replythumb_up0 voto/sflag
    icon

    Antonio Silvio Palmitano
    el 2/4/19

    Sí, has hecho todo correctamente.

    thumb_up1 voto/sflag
  • icon

    Y3
    el 1/4/19

    Para hallar su continuidad con n y m debería igualar mis resultados? Gracias

    replythumb_up0 voto/sflag
    icon

    César
    el 1/4/19

    Efectivamente

    3m+3=-1


    thumb_up0 voto/sflag
  • icon

    cas
    el 1/4/19

    no entiendo este ejerciccio


    replythumb_up0 voto/sflag