Necesito ayuda con este ejercicio.
See ensayan dos procedimientos para la depuración de aguas residuales. Como variable respuesta se mide la concentración de coliformes totales por litro de agua. El procedimiento 1 se prueba 26 veces produciendo una concentración media de 925 coliformes/litro y una desviación típica de 132 col/litro. El procedimiento 2 se prueba 17 veces produciendo una concentración media de 944 col/litro con desviación típica de 192 col/litro.

¡Hola! Nos encantaría ayudarte, pero no solemos responder dudas universitarias que no tengan que ver específicamente con los vídeos que David Calle ha grabado como excepción. O de otras asignaturas que no sean Matemáticas, Física y Química. Lo sentimos de corazón… Esperamos que lo entiendas.
Ojalá algún unicoo universitario se anime a ayudarte (de hecho, lo ideal es que todos los universitarios intentarais ayudaros los unos a los otros).

En el primer ejercicio debes hacer lo siguiente:
a) Para realizar el limite cuando x→2 debes hacer lim x→2+ (limite cuando la x tiende a 2 por la derecha) y lim x→2- (limite cuando la x tiende a 2 por la izquierda). Entonces realizas la tabla de valores para los dos casos de esta manera:
x | y = f(x) (valores a la izquierda de dos, que estén muy próximos al dos, por ejemplo, el 1.9, 1.99, 1.99, 1.999)
x | y = f(x) (valores a la derecha de dos, que estén muy próximos al dos, por ejemplo, el 2.0, el 2.01, el 2.001, el 2.00111)
Cuando te piden calcular la f(2) simplemente tienes que hacer que f(x) = (x2-1) → f(2) = (22-1) → f(2) = (4-1) → f(2) = 3
b) Para este apartado simplemente tienes que calcular para que valores de x el denominador es cero, es decir, si en tu calculadora haces la division 1/0, te saldrá un mensaje de error, dado que no se puede dividir por cero, entonces tienes que ver cuando el denominador vale cero, en este caso, x-1=0 cuando x=1 por lo tanto el limite se hace de la misma forma que en el apartado anterior, pero el 1 no se incluye.
El Dom f = ℛ-{1}
Espero que te ayude, un saludo ;)
Buenos días, estoy un poco perdido con este ejercicio, ¿me pueden ayudar?. Gracias.
El tiempo transcurrido entre las llamadas que se reciben diariamente en un servicio de atención telefónica es una variable aleatoria con distribución exponencial. Los tiempos transcurridos entre las últimas 16 llamadas fueron los siguientes (en minutos): 2.35, 0.61, 8.8, 8.19, 1.66, 11.4, 7.06, 0.56, 1.4, 0.83, 3.95, 0.7, 5.63, 1.04, 3.1, 2.53. Estima el valor del parámetro de esta distribución y calcula un intervalo de confianza al 95% para dicho parámetro.

¡Hola! Nos encantaría ayudarte, pero no solemos responder dudas universitarias que no tengan que ver específicamente con los vídeos que David Calle ha grabado como excepción. O de otras asignaturas que no sean Matemáticas, Física y Química. Lo sentimos de corazón… Esperamos que lo entiendas.
Ojalá algún unicoo universitario se anime a ayudarte (de hecho, lo ideal es que todos los universitarios intentarais ayudaros los unos a los otros).
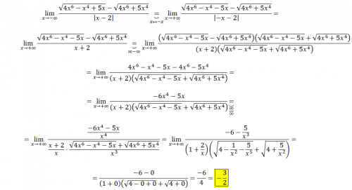
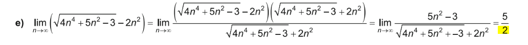
Hola, estoy algo confundido. Según los vídeos de límites infinito / infinito, habría que dividir las variables de numerador y denominador por la variable de mayor grado del denominador no? Con lo que no entiendo porque en este ejercicio resuelto del examen de Unicoos se divide a numerador por la variable de mayor grado del numerador y en el caso del denominador se divide a cada expresión por su variable de mayor grado. No lo entiendo, no se debería de dividir todo por la variable de mayor grado del denominador? Gracias de antemano.