Foro de preguntas y respuestas de Matemáticas

logo beUnicoos
Los foros de unicoos se han unificado en nuestra nueva plataforma beUnicoos. Para dejar nuevas preguntas deberás hacerlo allí, donde además podrás encontrar nuevas asignaturas y herramientas para ayudarte más con tus estudios.

  • icon

    Burly Uranus
    el 30/3/19

    ¿Cómo resuelvo este problema? O donde encuentro videos que traten sobre esto? 



    replythumb_up0 voto/sflag
    icon

    Antonio
    el 30/3/19

    Debes encontrar el valor de α para que el rango de A sea 2

    por lo que su determinante debe ser nulo.

    opción a) α=1


    thumb_up1 voto/sflag
  • icon

    FilippoLapi
    el 30/3/19

    Buenos días, necesito ayuda con este problema. Desde ya, muchísimas gracias!

    Sea A= {1,2,3,...,365} el conjunto de los días del año 2018, numerados a partir del 1 (1ro de enero de 1018) al 365 (31 de diciembre de 2018). Sea R la relación binaria en A dada por xRy si y sólo si x cae en el mismo día de la semana que y.
    a) Cuántas clases de equivalencia hay? Escríbalas, eligiendo una notación que considere adecuada. Escriba el conjunto cociente.
    b) Escriba la relación R mediante una fórmula.
    c) Dado un día del año x, escriba una fórmula que permita determinar en qué día de la semana cae. Le será útil asignar números  las clases de equivalencia. Dispone de las operaciones aritméticas y de las funciones "resto" y " cociente", que toman dos números enteros a y b y devuelven el resto y el cociente, respectivamente, de la división entera de a por b. Por ejemplo, resto(17,3) = 2, cociente(17,3)=5. (Dato: el 1/1/2018 fue lunes).
    d) Escriba una fórmula que permita determinar qué día del año (de 1 a 265) es un día de la semana dado (lunes, martes, etc) de la semana n del año. Consideremos en este ejercicio que la semana empieza el domingo. Verifique que la fórmula funcione, consultando algunos días en un calendario.
    e) Repita los últimos dos incisos para un año en el que el 1ro. de enero sea jueves.

    replythumb_up0 voto/sflag
    icon

    Antonio
    el 30/3/19

    a) hay 7 clases de equivalencia: L, M, X, J, V, S, D

    thumb_up0 voto/sflag
    icon

    Antonio
    el 30/3/19

    L={1,8,15, 22,....}={7k+1 / k=0, 1, 2, ...,52}

    M={2,9,16, 23,....}={7k+2 / k=0, 1, 2, ...51}

    X={3, 10,17, 24,....}={7k+3 / k=0, 1, 2, ...51}

    J={4, 11, 18, 25,....}={7k+4 / k=0, 1, 2,... 51}

    V={5, 12, 19, 26,....}={7k+5 / k=0, 1, 2, ...51}

    S={6, 13, 20, 27,....}={7k+6 / k=0, 1, 2, ...51}

    D={7, 14, 21, 28,....}={7k+7 / k=0, 1, 2, ...51}

    thumb_up0 voto/sflag
    icon

    Antonio
    el 30/3/19

    a R b <=> Ιa-bΙ es un múltiplo de 7

    thumb_up0 voto/sflag
    icon

    Antonio
    el 30/3/19

    día de la semana de x = resto (a,7)

    L=1

    M=2

    X=3

    J=4

    V=5

    S=6

    D=0

    thumb_up0 voto/sflag
    icon

    Antonio
    el 30/3/19

    f=7(n-1)+d

    por ejemplo el jueves de la semana 15 => f=7·14+4=102

    thumb_up0 voto/sflag
    icon

    Antonio
    el 30/3/19

    día de la semana de x = resto (a,7)

    L=5

    M=6

    X=0

    J=1

    V=2

    S=3

    D=4

    thumb_up0 voto/sflag
    icon

    Antonio
    el 30/3/19

    f=7(n-1)+d

    por ejemplo el jueves de la semana 15 => f=7·14+1=99

    thumb_up0 voto/sflag
  • icon

    andrei
    el 30/3/19

    Buenas! me podriais echar una mano con este ejercicio?

    Gracias.


    replythumb_up0 voto/sflag
    icon

    Antonius Benedictus
    el 30/3/19


    thumb_up1 voto/sflag
  • icon

    Elena Juzgado López
    el 30/3/19

    Buenas tardes. 

    ¿Podríais decirme si estos ejercicios sobre cónicas están bien o si he metido la pata? 

    Gracias. 


    replythumb_up0 voto/sflag
    icon

    Antonius Benedictus
    el 30/3/19

    En la b)  debe figurar  -4x

    El resto es correcto.

    thumb_up0 voto/sflag
    icon

    Elena Juzgado López
    el 30/3/19

    Ayyy vaya fallo. Muchas gracias. 

    thumb_up0 voto/sflag
  • icon

    Y3
    el 30/3/19

    No entiendo por qué se eleva al cuadrado en el apartado c y en el d, que tiene el mismo estilo, no se hace.

    replythumb_up0 voto/sflag
    icon

    Antonius Benedictus
    el 30/3/19


    thumb_up1 voto/sflag
    icon

    Y3
    el 31/3/19

    Ahhhhhhhhhhhhhhhhhhhh................ No lo veía jaja

    thumb_up0 voto/sflag
  • icon

    Y3
    el 30/3/19

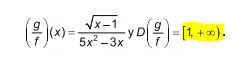
     No comprendo por qué solo se tiene en cuenta el numerador. Gracias :)

    replythumb_up0 voto/sflag
    icon

    Antonius Benedictus
    el 30/3/19

    Porque el denominador se anula en x=0  y en x=3/5, valores que ya están fuera de la semirrecta considerada.

    thumb_up0 voto/sflag
  • icon

    Mohamed Akechta
    el 30/3/19

    buenas, me podeis ayudar con esta integral definida, es una integral definida de pi y beta. muchas gracias de antemano


    replythumb_up0 voto/sflag
    icon

    Antonius Benedictus
    el 30/3/19

    Pon foto del enunciado original, por favor.

    thumb_up0 voto/sflag
    icon

    Mohamed Akechta
    el 30/3/19

    el enunciado es ese lo copie de la pizarra, a lo mejor la profe se comió varias palabras del enunciado, para no poder buscarlo por internet

    thumb_up0 voto/sflag
    icon

    Antonius Benedictus
    el 30/3/19

    ¿Cuál es el límite inferior de integración?

    thumb_up0 voto/sflag
    icon

    Mohamed Akechta
    el 30/3/19


    thumb_up0 voto/sflag
    icon

    Antonius Benedictus
    el 30/3/19


    thumb_up1 voto/sflag
  • icon

    Facundo Gabriel
    el 30/3/19

    Buenos dias/noches, alguien podria ayudarme con estos dos ejercicios porfavor?

    Gracias de ante mano

    replythumb_up0 voto/sflag
    icon

    Antonius Benedictus
    el 30/3/19

    Es evidente que falta la entrada del ejercicio.

    thumb_up0 voto/sflag
    icon

    Facundo Gabriel
    el 30/3/19

    Disculpas, la entrada dice "refute o demuestre las siguientes afirmaciones"

    thumb_up0 voto/sflag
    icon

    Antonius Benedictus
    el 30/3/19

    a) Falso. Para que el sistema sea compatible determinado, el rango común de A y de la matriz ampliada (que es n para A) debería ser igual al número de incógnitas (que es n+1).

    b) Sí, pues sería un sistema compatible indeterminado con 3-2=1 grado de libertad.

    thumb_up0 voto/sflag
  • icon

    Brenda Galvez
    el 30/3/19

    Hola..¿Cuál es la solución..?

    Entre que gastos de transporte se encuentra el 84% de los estudiantes, si la media es 1.2 y la desviación estándar es $0.25

    replythumb_up0 voto/sflag
    icon

    Antonio
    el 30/3/19

    X∼N(1.2,0.25)

    P(1.2-a≤X≤1.2+a)=0.84

    P((1.2-a-1.2)/0.25≤X≤(1.2+a-1.2)/0.25)=0.84

    P(-a/0.25≤X≤a/0.25)=0.84

    P(X≤a/0.25)=0.84+(1-0.84)/2

    P(X≤a/0.25)=0.92

    a/0.25=1.405

    a=0.35125

    como 1.2 + a = 1.2 + 0.35125 = 1.55125

    1.2 - a = 1.2 - 0.35125 = 0.84875

    la solución quedará como sigue:

    se encuentran entre $0.85 y $1.55


    thumb_up0 voto/sflag
    icon

    Antonius Benedictus
    el 30/3/19


    thumb_up0 voto/sflag
  • icon

    Adrian Castillejo
    el 30/3/19

    Hola, buenos días. Alguien puede ayudarme a resolver estos dos ejercicios. Lo que he hecho no sé si está bien 

    replythumb_up0 voto/sflag
    icon

    Antonius Benedictus
    el 30/3/19


    thumb_up0 voto/sflag
    icon

    Antonius Benedictus
    el 30/3/19


    thumb_up0 voto/sflag