Foro de preguntas y respuestas de Matemáticas

logo beUnicoos
Los foros de unicoos se han unificado en nuestra nueva plataforma beUnicoos. Para dejar nuevas preguntas deberás hacerlo allí, donde además podrás encontrar nuevas asignaturas y herramientas para ayudarte más con tus estudios.

  • icon

    David sanchez gil
    el 28/3/19

    Equivalente de un logaritmo??

    replythumb_up0 voto/sflag
    icon

    César
    el 28/3/19



    thumb_up1 voto/sflag
  • icon

    David sanchez gil
    el 28/3/19

    Quería resolver el sistema por método krauss!

    replythumb_up0 voto/sflag
    icon

    César
    el 28/3/19

    Entiendo que te refieres a Gauss-Jordan no?



    thumb_up1 voto/sflag
  • icon

    David sanchez gil
    el 28/3/19

    Buenas necesito saber como hacer la equivalente!! Es la c pero quiero saber si hay que resolver primero la ecuación!! Gracias 

    replythumb_up0 voto/sflag
    icon

    Antonius Benedictus
    el 28/3/19


    thumb_up1 voto/sflag
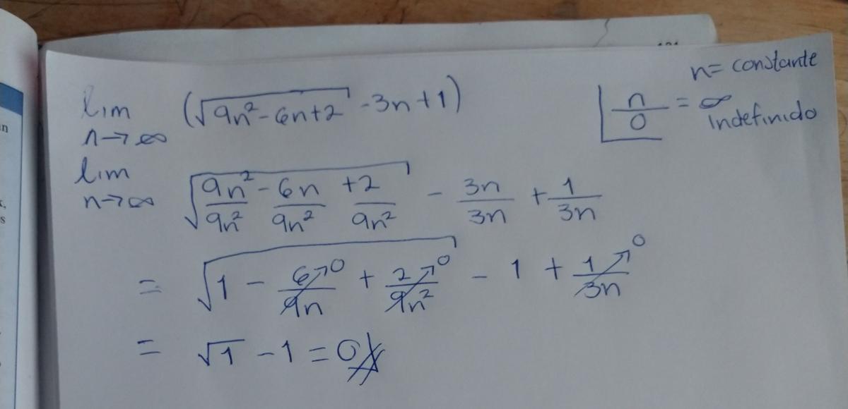
  • icon

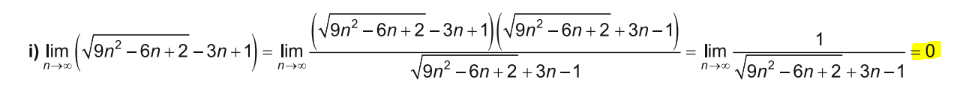
    Y3
    el 28/3/19

    Esta es la del libro, y ya llevo varias veces intentando contrastarla con la mía y no sabría por cuál guiarme. Gracias!!!!


    replythumb_up0 voto/sflag
    icon

    David
    el 28/3/19

    mira el signo del -1, es +1. No influye en el límite, pero cuidado con ello.

    thumb_up0 voto/sflag
    icon

    Y3
    el 28/3/19

    En el libro lo tiene como -1 (del conjugado)

    thumb_up0 voto/sflag
    icon

    Uriel Dominguez
    el 28/3/19

    Divides todo entre la n de mayor exponente y esta la encuentras fuera del radical puesto que tienes una afuera, de no ser así tendrías que tomar la que este dentro del radical, y por propiedades ese 3n para que entre a la raíz se tiene que elevar al cuadrado porque es una raíz cuadrada, si fuera cúbica pues al cubo, yo solo usaría el conjugado para quitar las raíces del denominador, es menos rollo 

    thumb_up0 voto/sflag
  • icon

    Acxel Aleman
    el 28/3/19


    de una extensión cuadrada de 4.5 decámetros de lado se venden 2/5 y lo restante se cultiva ¿Cuántas áreas tiene la porción cultivada?

    por favor Ayúdenme es urgente paso a paso se los agradecere eternamente pero que la respuesta no sea 12,15 de hecho conozco al resultado es 16.2  y el procedimiento es el siguientedonde yo saco la parte a vender (4.5dam)^2+(4.5dam(2/5)^2=23.49dam^2 y la superficie de la extensión se calcula de esta manera  (4.5dam+(2/5)4.5dam)=39.69dam^2 y a este resultado le restó el primer resultado que saque de la parte bendida lo que viene dando 16.2 yo concuerdo con los resultados todo que todo está bien ese no es el problema lo lo que quiero es ver si no hay forma de resolverlo más Sencillamente con otro método o si es posible o por lo menos ayudarme a identificar Cuáles son esas partes y porque es que se lleva a cabo de esa manera la resolución del problema Muchas gracias

    replythumb_up0 voto/sflag
    icon

    César
    el 29/3/19

    La respuesta es 12,5 


    thumb_up0 voto/sflag
  • icon

    Acxel Aleman
    el 28/3/19


    de una extensión cuadrada de 4.5 decámetros de lado se venden 2/5 y lo restante se cultiva ¿Cuántas áreas tiene la porción cultivada?

    por favor Ayúdenme es urgente paso a paso se los agradecere eternamente pero que la respuesta no sea 12,15 de hecho conozco al resultado es 16.2  y el procedimiento es el siguientedonde yo saco la parte a vender (4.5dam)^2+(4.5dam(2/5)^2=23.49dam^2 y la superficie de la extensión se calcula de esta manera  (4.5dam+(2/5)4.5dam)=39.69dam^2 y a este resultado le restó el primer resultado que saque de la parte bendida lo que viene dando 16.2 yo concuerdo con los resultados todo que todo está bien ese no es el problema lo lo que quiero es ver si no hay forma de resolverlo más Sencillamente con otro método o si es posible o por lo menos ayudarme a identificar Cuáles son esas partes y porque es que se lleva a cabo de esa manera la resolución del problema Muchas gracias

    replythumb_up0 voto/sflag
    icon

    César
    el 28/3/19


    thumb_up1 voto/sflag
  • icon

    Shei
    el 28/3/19

    Halla la ecuación de una recta que pasa por el punto 𝐴(2,2) de manera que diste 5 unidades del punto 𝐵(−1,6).



    replythumb_up0 voto/sflag
    icon

    César
    el 28/3/19


    thumb_up0 voto/sflag
  • icon

    Escobar Alexis
    el 28/3/19

    Dos ingenieros desean calcular la distancia a través de un lago. Uno de ellos golpea una roca contra otra bajo el agua en una orilla del lago y el otro sumerge su cabeza y oye un leve sonido 0.62 s más tarde, de acuerdo con un cronómetro muy precioso ¿Cuál es la distancia entre los 2 ingenieros?

    replythumb_up0 voto/sflag
    icon

    César
    el 28/3/19

    Te falta saber la velocidad de propagación del sonido en el agua dulce


    thumb_up0 voto/sflag
  • icon

    Isaac
    el 27/3/19

    Hola buena, en limites de segundo de bachillerato en la regla de L´Hopital tengo entendido que se puede hacer cuando es 0/0 y inf/inf entre otras...


    Si el limite es fracional de 0/0 o inf/inf podría aplicar siempre a  regla de L´hopital en cualquier ejercicio de estas características si no me piden lo contrario o hay alguna regla matemática que en algunos casos no pueda aplicar esta regla.

    replythumb_up0 voto/sflag
    icon

    David
    el 28/3/19

    Siempre que haya indeterminación del tipo que dices se puede aplicar L'Hopital, pero cuando hay raíces en el numerador y en el denominador nos puede interesar hacer el conjugado. Pero eso depende de la dificultad de la raíz.


    thumb_up0 voto/sflag
  • icon

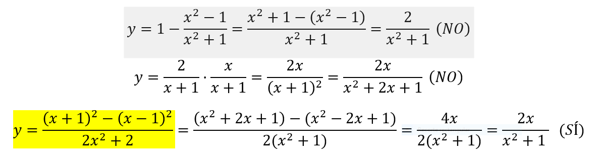
    Majda Yahya
    el 27/3/19

    Hola, me gustaría saber si he resuelto bien este ejercicio, gracias.

    replythumb_up0 voto/sflag
    icon

    Antonio
    el 27/3/19


    Visita esta página para comprobar lo que has hecho




    thumb_up1 voto/sflag