Foro de preguntas y respuestas de Matemáticas

logo beUnicoos
Los foros de unicoos se han unificado en nuestra nueva plataforma beUnicoos. Para dejar nuevas preguntas deberás hacerlo allí, donde además podrás encontrar nuevas asignaturas y herramientas para ayudarte más con tus estudios.

  • icon

    Tere Arema
    el 27/3/19

    se ha aplicado a 500 alumnos un test de agresividad y se ha observado que se distribuye normalmente con media 30 y varianza 144. Se considera potencialmente agresivos si obtienen una puntuacion superior a 42. Se pide:

    a) ¿que porcentaje de alumnos tendra una puntuacion en dicho test entre 20 y 35?

    b)¿ cuantos alumnos se expera que sean potencialmente agresivos.?

    replythumb_up0 voto/sflag
    icon

    Antonius Benedictus
    el 27/3/19


    thumb_up1 voto/sflag
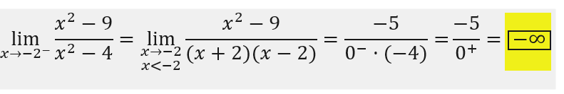
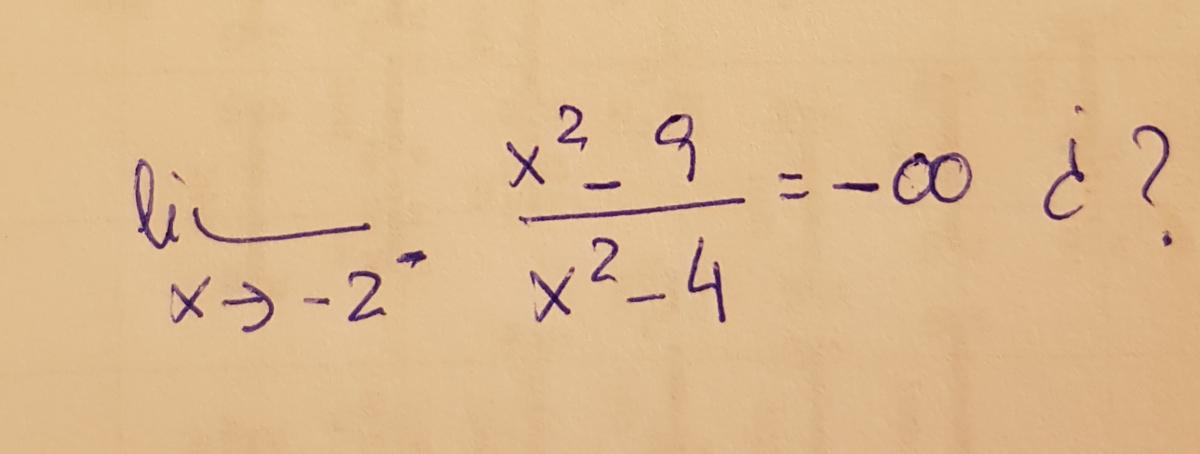
  • icon

    carmela
    el 27/3/19

    Hola únicos. Por qué es menos infinito? Gracias

    replythumb_up0 voto/sflag
    icon

    Antonius Benedictus
    el 27/3/19

    Si sustituyes x=-2.0001  y operas, te cerciorarás.

    thumb_up0 voto/sflag
  • icon

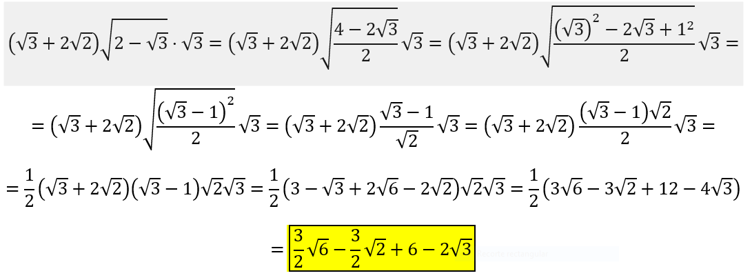
    Rocío
    el 27/3/19

    El enunciado dice: efectúa las siguientes operaciones y simplifica cuando sea posible.

    replythumb_up0 voto/sflag
    icon

    Antonius Benedictus
    el 27/3/19


    thumb_up1 voto/sflag
  • icon

    Tere Arema
    el 27/3/19

    en una clase hay un 67% de alumnos que estudian ingles y el resto estudia frances. Si tomamos un grupo de 15 alumnos de la clase, determina la probabilidad de que:

    a) halla al menos 3 alumnos de ingles.

    b) Los 15 alumnos sean de ingles.

    c) halla entre 7 y 10 alumnos de ingles.

    d) ¿Cual es el numero medio de alumnos de ingles?

    replythumb_up0 voto/sflag
    icon

    César
    el 27/3/19


    thumb_up1 voto/sflag
  • icon

    Franz Soto
    el 27/3/19

    Buenas amigos sera que alguien me puede ayudar con este ejercicio

    replythumb_up0 voto/sflag
    icon

    Antonius Benedictus
    el 27/3/19

    Si pones foto del enunciado original, nos queda más claro.

    thumb_up1 voto/sflag
  • icon

    Sandra mendez
    el 27/3/19

    Buenas noches, me han dejado este trabajo y estoy super perdida, por favor si me pueden ayudar o me dan una luz para poderlo desarrollar. Agradezco su valiosa ayuda... muchas gracias!

    A continuación se presenta un plano del primer piso de una casa en dos dimensiones: la medida del lado de cada cuadrado es de un metro, se omiten paredes internas, puertas y ventanas para faciliar los cálculos. 

    Responder:

    a. Se quiere enbaldosinar toda la casa, por esto calcula el área de la casa utilizando como unidad el cuadrado de la cuadrícula.

    b. Ahora, use rectangulos de igual base (cuya base este sobre el eje x) para cálcular el área de la casa, para esto realice el cálculo variando el número de rectángulos (cambie el número de rectángulos tres veces), por favor registre los datos obtenidos en la siguiente tabla. 


    no de rectangulosbase de cada rectangulo                                                 area de cada rectangulo                                                         suma de las areas de cada rectangulo                                       











    Use la integral definida para calcular el área de la casa.

    d. Teniendo encuenta el ítem b y c ¿Cuál es la mejor aproximación del área de la casa? ¿Por qué? Justifique su respuesta.

    e. Por seguridad el propietario quiere colocarle cerca electrica a la casa, para esto debe conocer ¿Cuántos metros lineales de cerca necesita?. Use técnicas de integración y en el caso que la integral no tenga primitiva, puede usar un software y coloque la imagen del resultado que con él obtiene. 


    replythumb_up0 voto/sflag
    icon

    César
    el 27/3/19

    Observa la figura y verás que puedes subdividir la figura para poder calcular sus respectivas áreas.


    thumb_up1 voto/sflag
  • icon

    Acxel Aleman
    el 27/3/19


    de una extensión cuadrada de 4.5 decámetros de lado se venden 2/5 y lo restante se cultiva ¿Cuántas áreas tiene la porción cultivada?

    por favor Ayúdenme es urgente paso a paso se los agradecere eternamente pero que la respuesta no sea 12,15 de hecho conozco al resultado es 16.2  y el procedimiento es el siguientedonde yo saco la parte a vender (4.5dam)^2+(4.5dam(2/5)^2=23.49dam^2 y la superficie de la extensión se calcula de esta manera  (4.5dam+(2/5)4.5dam)=39.69dam^2 y a este resultado le restó el primer resultado que saque de la parte bendida lo que viene dando 16.2 yo concuerdo con los resultados todo que todo está bien ese no es el problema lo lo que quiero es ver si no hay forma de resolverlo más Sencillamente con otro método o si es posible o por lo menos ayudarme a identificar Cuáles son esas partes y porque es que se lleva a cabo de esa manera la resolución del problema Muchas gracias

    replythumb_up0 voto/sflag
    icon

    César
    el 29/3/19

    Respondida ya.


    thumb_up0 voto/sflag
  • icon

    Acxel Aleman
    el 27/3/19

    de una extensión cuadrada de 4.5 decámetros de lado se venden 2/5 y lo restante se cultiva ¿Cuántas áreas tiene la porción cultivada?

    por favor Ayúdenme es urgente paso a paso se los agradecere eternamente pero que la respuesta no sea 12,15 de hecho conozco al resultado es 16.2  y el procedimiento es el siguientedonde yo saco la parte a vender (4.5dam)^2+(4.5dam(2/5)^2=23.49dam^2 y la superficie de la extensión se calcula de esta manera  (4.5dam+(2/5)4.5dam)=39.69dam^2 y a este resultado le restó el primer resultado que saque de la parte bendida lo que viene dando 16.2 yo concuerdo con los resultados todo que todo está bien ese no es el problema lo lo que quiero es ver si no hay forma de resolverlo más Sencillamente con otro método o si es posible o por lo menos ayudarme a identificar Cuáles son esas partes y porque es que se lleva a cabo de esa manera la resolución del problema Muchas gracias

    replythumb_up0 voto/sflag
    icon

    César
    el 29/3/19

    reposndida


    thumb_up0 voto/sflag
  • icon

    Mister X
    el 27/3/19

    Buenas noches. Lo que hace un obrero el primer día es como 1/5 de A, donde A es la obra total y porque guarda una relación de 1 a 4 con lo hecho el resto hecho por todos los demás obreros. Pero a partir de esto no consigo avanzar más. ¿Alguien podría ayudarme, por favor?



    replythumb_up0 voto/sflag
    icon

    César
    el 29/3/19

    Creo que ya te respondieron al ejercicio.


    thumb_up0 voto/sflag
    icon

    Mister X
    el 7/4/19

    Buenos días. La pregunta fue pésimamente respondida, aunque agradezco la buena voluntad. ¿Tiene usted algún aporte que lleve directamente a la respuesta y tenga una lógica que no sea un tanteo, por favor'

    thumb_up0 voto/sflag
  • icon

    Mario
    el 26/3/19

    Ecuaciones lineales con dos incógnitas. sistemas

    hacer una tabla de valores con al menos 10 soluciones de cada ecuaciones:

    -4x-y=3

    7x-12y=0

    replythumb_up0 voto/sflag
    icon

    César
    el 27/3/19

    el otro igual


    thumb_up0 voto/sflag