Hola, necesito vuestra ayuda.
Tengo un ejercicio de probabilidad y me gustaria mucho tenerlo resuelto para mañana.
Muchas gracias de antemano.
Se tienen nueve urnas, en cuatro de ellas hay 5 bolas blancas y 3 negras, en otras 3 urnas hay 3 bolas blancas y 2 negras y en las 2 urnas restantes 1 bola blanca y 2 negras. Se elige una urna al azar
a)Calcula la probabilidad de que, al extraer una bola al azar sea negra.
b)Calcula la probabilidad de que la urna elegida al azar sea de las que tienen 8 bolas, sabiendo que la bola extraida ha sido negra.
hola, estoy al final de un problema y debo resolber esta ecuación
(1,04)^(x) * 2000 = 3202

Tienes la ecuación exponencial:
1,04x * 2000 = 3202, divides por 2000 en ambos miembros, y queda:
1,04x = 1,601, tomas logaritmos decimales en ambos miembros, y queda:
log(1,04x) = log(1,601), aplicas la propiedad del logaritmo de una potencia, y queda:
x*log(1,04) = log(1,601), divides en ambos miembros por log(1,04), y queda:
x = log(1,601) / log(1,04), resuelves, y queda:
x ≅ 11,999487 ≅ 12.
Espero haberte ayudado.
¡¡HOLA COMPAÑEROS!! Necesito ayuda con este ejercicio, intente muchas veces y no sé cuál es mi error.
El ejercicio es sobre ecuaciones diferenciales separables en un caso en particular.
GRACIAS POR SU AYUDA.
Gracias César, pero ¿cómo obtienes lso resultados que suman 12? ¿hay alguna tabla o algo?

Yo siempre suelo hacer la tabla para no equivocarme. A veces no la hago si hay demasiados números, como en tu caso.
Te he hecho la tabla para que te hagas una idea de cómo sería por si tienes que hacerla para otro ejercicio. Si vaw sumando uno por uno, encontrarás los que suman 12.
Al parecer a César le faltó el (4,4,4), por eso está en azul.
Espero que te haya servido. Un saludo.
hola! Me podéis ayudar con este ejercicio de probabilidad?? muchas graacias.
"Al hacer tres lanzamientos de un dado se alcanzó la puntuación total de 12. ¿Cuál es la probabilidad de que en el primer lanzamiento se obtuviera un 6?" es que el profe nos ha dado la respuesta pero no sé de dónde saca los casos totales ni los casos favorables.
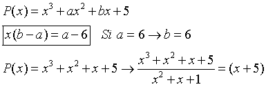
Tienes que hacer la primitiva de la función: f(x)=a·x2+b·ln(x)
F(x)= ∫ ( a·x2+ b·ln(x) )dx=
F(x)=(1/3)(a·x3) + b·(x-xln(x)) + C=
Y ahora la tienes que evaluar entre 1 y -4
F(x=1) - F(x=-4)
Y el resultado igualarlo a 27 -8·ln4.
Así obtendras una ecuación con dos incognitas.
Para obtener la segunda ecuación que necesitas para resolver las dos incognitas necesitas saber que para que f(x) alcance un extremo relativo en x=1, la derivada de la función f(x), esto es f ' (x), es igual a 0 en x=1.
Por tanto calcula la derivad de f(x) y substituye en la expresión obtenida f'(x) x=1.
Ahora ya es un sistema lineal de dos ecuaciones con dos incognitas...