Foro de preguntas y respuestas de Matemáticas

logo beUnicoos
Los foros de unicoos se han unificado en nuestra nueva plataforma beUnicoos. Para dejar nuevas preguntas deberás hacerlo allí, donde además podrás encontrar nuevas asignaturas y herramientas para ayudarte más con tus estudios.

  • icon

    alberto
    el 26/3/19

    Buenas,

    En mi libro de texto tengo una fórmula para la ecuación implícita del plano y en los ejercicios de correción tengo otra diferente, en la que varia el signo del término independiente D.


    ¿Cuál de las dos (arriba o abajo) es la correcta?

    Saludos

    replythumb_up0 voto/sflag
    icon

    Antonio
    el 26/3/19

    Ambas son correctas

    La diferencia es que la letra D tendría signo opuesto

    Pon el término independiente donde quieras,

    pero si tienes en el mismo ejercicio más de un plano te sugiero que en todas las ecuaciones uses el mismo formato.


    thumb_up0 voto/sflag
    icon

    Antonius Benedictus
    el 26/3/19

    Se suelen emplear las dos primeras.


    thumb_up0 voto/sflag
    icon

    alberto
    el 26/3/19

    Perdona, ambas son correctas? Dan números con el signo contrario y da todo el ejercicio mal.

    No es lo mismo tener la ecuación de un plano en:

    2x + 5y + 6z = 2

    2x + 5y + 6z = -2

    Este tipo de preguntas caen en el examen.

    thumb_up0 voto/sflag
    icon

    Antonio
    el 26/3/19

    Si, ambos formatos son correctos.

    ahora bien, si eliges uno debes poner el signo opuesto a si eliges el otro.

    pues estos planos son diferentes, más bien paralelos.

    2x + 5y + 6z = 2

    2x + 5y + 6z = -2

    pon el enunciado y te ayudo a hacerlo 


    thumb_up0 voto/sflag
  • icon

    Isabel Moreno Navas
    el 26/3/19

    Hola Buenas Tardes llevo un rato buscando un video donde explique la estadistica y la probabilidad para 1º eso

    y no lo encuentro me podriais decir un video donde encontrarlo  o explicarmelo.


    MUCHISIMAS GRACIAS DE ANTEMANO 



    replythumb_up0 voto/sflag
    icon

    César
    el 26/3/19

  • icon

    Araceli
    el 26/3/19

    hola muy buenas, llevo un rato buscando un video en el que expliqueis la funcion de la ecuación punto-pendiente y no lo encuentro. Alguien me sabria decir donde puedo encontrarlo o explicarmelo

    muchas gracias.

        

    replythumb_up0 voto/sflag
    icon

    Antonio
    el 26/3/19

    la ecuación de la recta punto-pendiente donde la recta pasa por el punto (xo, yo) con pendiente m es:

    y=yo+m(x-xo)

    visualiza este video donde te lo explica con varios ejemplos



    thumb_up1 voto/sflag
    icon

    César
    el 26/3/19

  • icon

    david andres
    el 26/3/19

    Hola buenas,

    Tengo una duda de estadística. Supongamos que jugamos a la ruleta rusa, es decir, una única bala en las 6 rondas posibles y entonces disparo 5 veces seguidas. ¿Cual es la probabilidad de que muera? No es una sucesión de probabilidades? Ej: 1/6+1/5+1/4+1/3+1/2=87/60 imposible...

    replythumb_up0 voto/sflag
    icon

    David
    el 26/3/19

    Lo que has puesto, pero multiplicando.

    Es decir, entre 6 posibilidades, 1 hay de morir, a continuación, si no ha salido la bala, la probabilidad es de 1 posibilidad entre 5, y así hasta el quinto turno, donde hay una posibilidad entre 2. La probabilidad de que SOBREVIVA es de 0,00139, la de morir es el suceso contrario, ¿cuánto valdría (te lo dejo como ejercicio propuesto)?. Es una probabilidad de intersección de sucesos, donde dependes de no salir la bala entre las posibilidades que van surgiendo.


    thumb_up1 voto/sflag
    icon

    david andres
    el 26/3/19

    No contará solo la posibilidad de que la bala se posicione en el último lugar(ya que hay seis espacios y disparas 5 veces seguidas por lo que es tu única posibilidad de sobrevivir) y esa posibilidad de que se coloque última es 1/6?

    thumb_up0 voto/sflag
    icon

    David
    el 27/3/19

    Hola:

    Imagina una baraja de cartas. Te piden que saques los 4 reyes en 4 cuatro extracciones, sin reemplazamiento:

    Bien, pues la probabilidad en la primera extracción es sacar de las 40 cartas uno de los 4 reyes, por tanto, por Laplace, es 4/40. En la segunda extracción, tengo 3 reyes, pero ojo, ahora tengo 39 cartas. En la tercera extracción tengo 2 reyes, y tengo 38 cartas. En la cuarta y última extracción, tengo 1 rey entre 37 cartas. La probabilidad de extraer los 4 reyes es 4/40*3/39*2/38*1/37=24/2193360. 

    Pues con el ejercicio que has dicho funciona igual, 1 opción sobre 6 de recibir la bala, que 

    se reduce a 1 opción sobre 5... así hasta llegar a 1/2, pero en ningún momento es 1/6, piensa que 

    es complicado sobrevivir a 5 de 6 intentos de recibir la bala.  

    thumb_up0 voto/sflag
  • icon

    carmela
    el 26/3/19

    hola. En la gráfica el punto de inflexión 0.81,2.22 cómo lo represento? Mil gracias

    replythumb_up0 voto/sflag
    icon

    Antonio
    el 26/3/19

    Tienes un error al calcular la componente y del punto de inflexión, no es 2'22

    thumb_up1 voto/sflag
  • icon

    ana
    el 26/3/19

    1. Me podriais ayudar con este ejercicio? No entiendo como resolverlo.

      De cierto material radioactivo se sabe que se desintegra un 20% cada ano. ¿Que porcentaje del material inicial quedaria al cabo de 2 anos? ¿Cuantos anos tardara en desintegrarse un 80% del material inicial? 

      Muchisimas gracias

    replythumb_up0 voto/sflag
    icon

    César
    el 26/3/19

    Usa esta realción


    thumb_up1 voto/sflag
  • icon

    Yuka
    el 26/3/19

    Hola, ¿podéis decirme por favor si el (a) y el (d) los hice bien? La respuesta supuestamente está en rojo, es decir, no es seguro de que sea la respuesta correcta.

    ¿Y podéis explicarme el (b) y el (c) sobre como se resuelve? Porque como veis, no me salen.

    Gracias de antemano.

    replythumb_up0 voto/sflag
    icon

    César
    el 26/3/19

    Las veo correctas ambas


    thumb_up0 voto/sflag
    icon

    Yuka
    el 26/3/19

    Vale, gracias ¿y sabes hacer el (b) y el (c)?

    thumb_up0 voto/sflag
    icon

    César
    el 26/3/19


    thumb_up1 voto/sflag
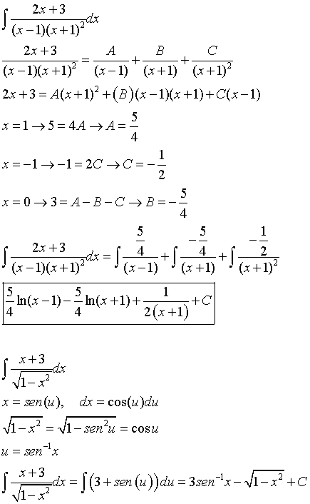
  • icon

    Jose
    el 26/3/19

    Me ayudais?


    replythumb_up0 voto/sflag
    icon

    Antonius Benedictus
    el 26/3/19


    thumb_up0 voto/sflag
  • icon

    Juan David Rodríguez González
    el 26/3/19


    replythumb_up0 voto/sflag
    icon

    César
    el 26/3/19


    thumb_up1 voto/sflag
  • icon

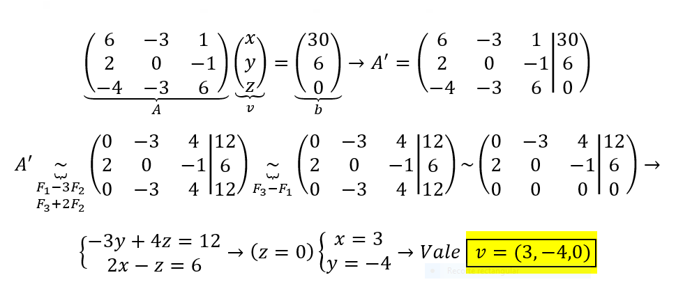
    Bernardo
    el 26/3/19

    Alguien me ayuda por favor. 

    Gracias


    replythumb_up0 voto/sflag
    icon

    Antonius Benedictus
    el 26/3/19


    thumb_up0 voto/sflag
    icon

    Bernardo
    el 26/3/19

    Muchas gracias Antonio. Me imagino que A' es matriz ampliada, no?

    thumb_up0 voto/sflag
    icon

    Antonius Benedictus
    el 26/3/19

    En efecto.

    thumb_up0 voto/sflag