Foro de preguntas y respuestas de Matemáticas

logo beUnicoos
Los foros de unicoos se han unificado en nuestra nueva plataforma beUnicoos. Para dejar nuevas preguntas deberás hacerlo allí, donde además podrás encontrar nuevas asignaturas y herramientas para ayudarte más con tus estudios.

  • icon

    carmela
    el 25/3/19

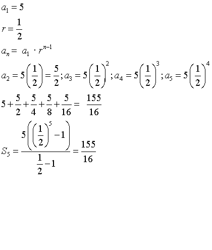
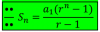
    La fórmula que pongo no es correcta? Es que no me da la solución

    replythumb_up0 voto/sflag
    icon

    Antonius Benedictus
    el 25/3/19


    thumb_up0 voto/sflag
    icon

    carmela
    el 25/3/19

    Pero no me da la solución

    thumb_up0 voto/sflag
    icon

    César
    el 25/3/19


    thumb_up0 voto/sflag
    icon

    carmela
    el 25/3/19

    Mil gracias César. La solución que dio la profe no estaba bien

    thumb_up0 voto/sflag
  • icon

    Bernardo
    el 25/3/19

    Buenas tardes, me gustaría que alguien me explique estos dos ejercicios de matrices que me salieron en el examen y no los habían explicado. No se por donde empezar. Muchas gracias.


    replythumb_up0 voto/sflag
    icon

    César
    el 25/3/19


    thumb_up0 voto/sflag
    icon

    Antonius Benedictus
    el 25/3/19


    thumb_up0 voto/sflag
    icon

    Antonius Benedictus
    el 25/3/19


    thumb_up0 voto/sflag
    icon

    Bernardo
    el 25/3/19

    Muchísimas gracias.

    thumb_up0 voto/sflag
  • icon

    Azul Amarillo Verde
    el 25/3/19

    Hola,

    Mi profe nos ha dado hoy estos apuntes de la periodicidad de las funciones. (4°eso) 

    Por más que lo intento, no consigo entender algunas operaciones, como las 2 de la derecha del todo.

    Sé que el 2 es por el periodo, tengo la duda de por qué pone en la x esos números y por qué le dan esos resultados.

    Muchas gracias,

    Un saludo.

    replythumb_up0 voto/sflag
    icon

    César
    el 25/3/19

    https://www.vitutor.com/fun/2/a_11.html

    mírate esto te ayudará 

    thumb_up1 voto/sflag
  • icon

    Diego Medina Figueroa
    el 25/3/19

    Estudia la continuidad de f(x)=|x|/ x

    No tengo ni idea de que hacer con esto


    replythumb_up0 voto/sflag
    icon

    César
    el 25/3/19


    thumb_up0 voto/sflag
  • icon

    Y3
    el 25/3/19

    Está bien? thanks

    replythumb_up0 voto/sflag
    icon

    Antonius Benedictus
    el 25/3/19

    Sí que tiene. n sale 0, no infinito. Es la recta y=x.

    thumb_up0 voto/sflag
    icon

    César
    el 25/3/19


    thumb_up0 voto/sflag
  • icon

    Raúl Martínez
    el 25/3/19

    Alguien me ayuda

    El área de un rombo mide 62 cm cuadrado y su diagonal menor tiene una longitud de 9cm . halla el perimetro del rombo

    replythumb_up0 voto/sflag
    icon

    Antonius Benedictus
    el 25/3/19

    Las operaciones, que las haga tu calculadora.

    thumb_up0 voto/sflag
  • icon

    Y3
    el 25/3/19

    No me convence la oblicua... Qué opinas? Thanks 

    replythumb_up0 voto/sflag
    icon

    Antonius Benedictus
    el 25/3/19

    Cuando hay asíntota horizontal, ya no busques oblicua, que no la hay.

    thumb_up0 voto/sflag
  • icon

    José Antonio Montero Duconger
    el 25/3/19

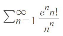
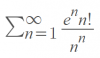
       Favor de ayudarme a resolver criterio de convergencia de esta serie

    replythumb_up0 voto/sflag
    icon

    Antonius Benedictus
    el 25/3/19


    thumb_up1 voto/sflag
  • icon

    María
    el 25/3/19

    Os quier hacer una pregunta:

    Una pareja tiene una enfermedad recesiva, los dos son portadores y tienen un 25% de posibilidades de que cada hijo tenga la enfermedad.  Si tienen cuatro hijos, cual es la probabilidad de que todos los hijos tengan la enfermedad? 


    Gracias 

    replythumb_up0 voto/sflag
    icon

    Antonius Benedictus
    el 25/3/19

    0.25^4

    thumb_up1 voto/sflag
  • icon

    hernan cutipa
    el 25/3/19

    upAyuda con este ejercicio por favor.     Quiero despejar variables   la.  X.  Y.   Tambien  la.  Y   gracias ante mano 

    replythumb_up0 voto/sflag
    icon

    Antonius Benedictus
    el 25/3/19


    thumb_up1 voto/sflag
    icon

    Antonius Benedictus
    el 25/3/19


    thumb_up1 voto/sflag