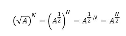
Hola!, como se pasa el seno/coseno a angulo? es decir, el seno de -0.044242 a grados?
Hola., alguien me ayuda con estos ejercicios por favor?
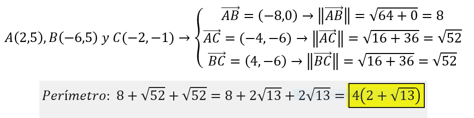
El primero lo hice y me da 22.4... no entiendo porque las opciones de respuesta están así con raíz...
por favooor, alguien me puede decir cómo se plantean las ecuaciones del siguiente problema?
El precio del billete de una línea de autobús se obtiene sumando dos cantidades, una fija y otra proporcional a los kilómetros recorridos. Por un billete entre las poblaciones A y B se han pagado 20 euros y por un billete entre las poblaciones A y C se han pagado 32 euros . Si la distancia desde A hasta C es el doble de la distancia desde A hasta B, calcule de forma razonada cuánto se tendrá que pagar por un billete a una población que dista de A la mitad que B.

Puedes llamar:
x a la distancia entre las ciudades A y B,
por lo que tienes que
2x es la distancia entre las ciudades A y C.
Luego, puedes llamar F a la suma fija incluida en el precio del billete,
y puedes llamar k a la constante de proporcionalidad del coste agregado al precio del billete por la distancia recorrida.
Luego, tienes para el coste (en euros) del viaje entre las ciudades A y B:
F + k*x = 20, y de aquí despejas: F = 20 - k*x (1).
Luego, tienes para el coste (e euros) del viaje entre las ciudades A y C:
F + k*2x = 32, aquí ordenas factores en el segundo término, y queda: F + 2*k*x = 32 (2);
luego, sustituyes la expresión señalada (1) en la ecuación señalada (2), y queda:
20 - k*x + 2*k*x = 32, aquí restas 20 en ambos miembros, reduces términos semejantes, y queda: k*x = 12,
aquí divides por x en ambos miembros (observa que x toma valores positivos distintos de cero), y queda: k = 12/x (3);
luego, sustituyes la expresión señalada (3) en la ecuación señalada (1), y queda:
F = 20 - (12/x)*x, aquí simplificas el último término, resuelves, y queda:
F = 8 euros (4), que es el valor de la suma fija incluida en el coste de los billetes.
Luego, planteas la expresión del precio del billete para viajar entre la ciudad A y la población, y queda:
P = F + k*(x/2),
aquí reemplazas el valor remarcado y señalado (4), sustituyes la expresión señalada (3), y queda:
P = 8 + (12/x)*(x/2), simplificas el último término, y queda:
P = 8 + 6 = 14 euros, que es el valor que consigna el colega Antonio.
Espero haberte ayudado.
por favoor, alguien me puede decir cómo se plantean las ecuaciones del siguiente problema?:por favooor, alguien me puede decir cómo se plantean las ecuaciones del siguiente problema?
Elena, Pedro y Juan colocan diariamente hojas de propaganda sobre los parabrisas de los coches aparcados en la calle. Pedro reparte siempre el 20 % de la propaganda, Juan reparte 100 hojas más que Elena y entre Pedro y Elena colocan 850 hojas en los parabrisas. Plantea un sistema de ecuaciones que permita calcular cuántas hojas repartieron, respectivamente, Elena, Pedro y Juan y calcula estos valores.
por favooor, alguien me puede decir cómo se plantean las ecuaciones del siguiente problema?:
En un cine se han vendido en una semana un total de 1405 entradas y la recaudación ha sido de 7920 euros. El precio de la entrada normal es de 6 euros y la del día del espectador, 4 euros. El precio de la entrada para los jubilados es siempre de 3 euros. Se sabe, además, que la recaudación de las entradas de precio reducido es igual al 10% de la recaudación de las entradas normales. ¿Cuántas entradas se han vendido de cada tipo?
Graciias