Enunciado -> Resolver está ecuación irracional de 2º Grado
Mi pregunta -> Dentro de como yo trate de resolverlo, en que parte me equivoco y por qué?
Muchisimas gracias

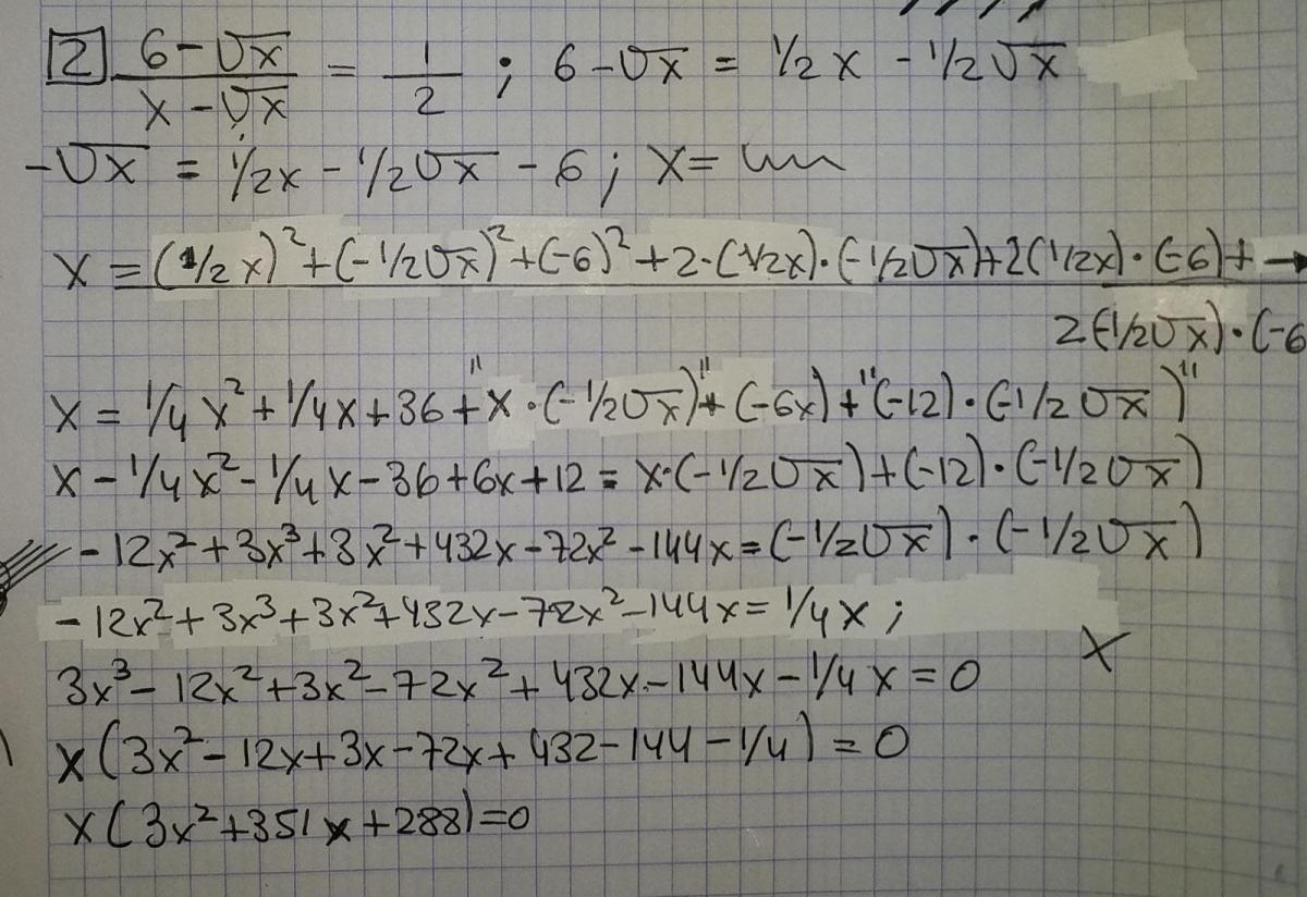
Tienes la ecuación:
( 6-√(x) ) / ( x-√(x) ) = 1/2, en la cuál x debe tomar valores estrictamente positivos y distintos de uno.
Luego, multiplicas por 2 y multiplicas por ( x-√(x) ) en ambos miembros, simplificas, y queda:
2*( 6-√(x) ) = 1*( x-√(x) ), distribuyes en ambos miembros, y queda:
12 - 2*√(x) = x - √(x), restas x y sumas 2*√(x) en ambos miembros, reduces términos semejantes, y queda:
12 - x = √(x), elevas al cuadrado en ambos miembros (observa que resolvemos el segundo miembro), y queda:
(12-x)2 = x, desarrollas el binomio elevado al cuadrado, y queda:
144 - 24*x + x2 = x, restas x en ambos miembros, reduces términos semejantes, ordenas términos, y queda:
x2 - 25*x + 144 = 0,
que es una ecuación polinómica cuadrática, cuyas soluciones son:
1°)
x1 = (25-7)/2, de donde tienes: x1 = 9,
y puedes verificar que este valor sí es una solución de la ecuación de tu enunciado;
2°)
x2 = (25+7)/2, de donde tienes: x2 = 16,
y puedes verificar que este valor sí es una solución de la ecuación de tu enunciado.
Espero haberte ayudado.
Hola, alguien me podría ayudar?
Estoy tratando distribuciones estadísticas bidimensionales, y no entiendo este problema...
Un grupo de personas tiene un peso medio de 68 kg y la media de sus alturas es 171 cm., con desviaciones típicas respectivas, 4,95 kg y 9,3 cm. La covarianza es 42. Encuentra la recta de regresión Peso – Altura y estima la altura de una persona de 80 kg de peso. ¿Cuánto vale el coeficiente de correlación Peso – Altura?
¡Muchísimas gracias de antemano!

Solo tienes que aplicar las fórmulas.
https://www.vitutor.com/estadistica/bi/correlaci%C3%B3n_regresion.html
Alguna explicación sobre las razones trigonométricas de diferentes cuadrantes?

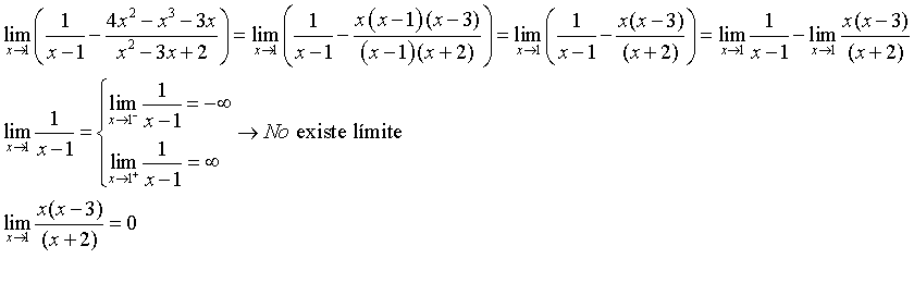
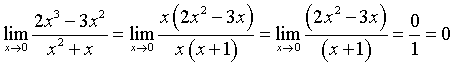
Has señalado correctamente que el límite por el momento es indeterminado, ya que el numerador y el denominador tienden ambos a cero.
Luego, extraes factor común en el numerador, extraes factor común en el denominador, y queda:
L = Lím(x→0) x2*(2x-3) / x*(x+1);
luego, simplificas, y queda:
L = Lím(x→0) x*(2x-3) / (x+1);
luego, resuelves (observa que el numerador tiende a cero y que el denominador tiende a uno), y queda
L = 0.
Espero haberte ayudado.

Observa que tienes dos particiones independientes del espacio muestral.
1°)
Planteas los sucesos:
F: "se elige un libro de ficción", cuya probabilidad es: p(F) = 70/100 = 0,7;
y su suceso complementario:
∼F: "se elige un libro que no es de ficción", cuya probabilidad es: p(∼F) = 30/100 = 0,3.
2°)
Planteas los sucesos:
E: "se elige un libro con alguna errata", cuya probabilidad es p(E) = 25/100 = 0,25;
y su suceso complementario:
∼E: "se elige un libro sin erratas", cuya probabilidad es: p(∼E) = 75/100 = 0,75.
Luego, si los sucesos F y ∼F son independientes de los sucesos E y ∼E,
por lo tanto puedes plantear para la probabilidad del suceso indicado en tu enunciado:
p(∼F ∩ ∼E) = p(∼F)*p(∼E), reemplazas valores, y queda:
p(∼F ∩ ∼E) = 0,3*0,75 = 0,225.
Espero haberte ayudado.