Foro de preguntas y respuestas de Matemáticas

logo beUnicoos
Los foros de unicoos se han unificado en nuestra nueva plataforma beUnicoos. Para dejar nuevas preguntas deberás hacerlo allí, donde además podrás encontrar nuevas asignaturas y herramientas para ayudarte más con tus estudios.

  • icon

    Jorge Gómez
    el 22/3/19

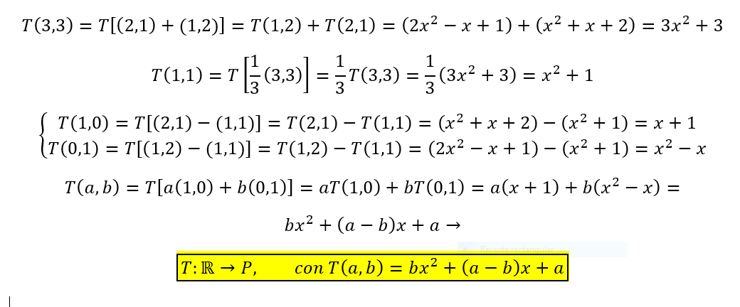
    Como seria el ejercicio 2?

    replythumb_up0 voto/sflag
    icon

    César
    el 22/3/19


    thumb_up0 voto/sflag
  • Usuario eliminado
    el 22/3/19

    Ayuda porfavor !!

    replythumb_up0 voto/sflag
    icon

    César
    el 22/3/19


    thumb_up0 voto/sflag
  • icon

    Uriel Dominguez
    el 22/3/19

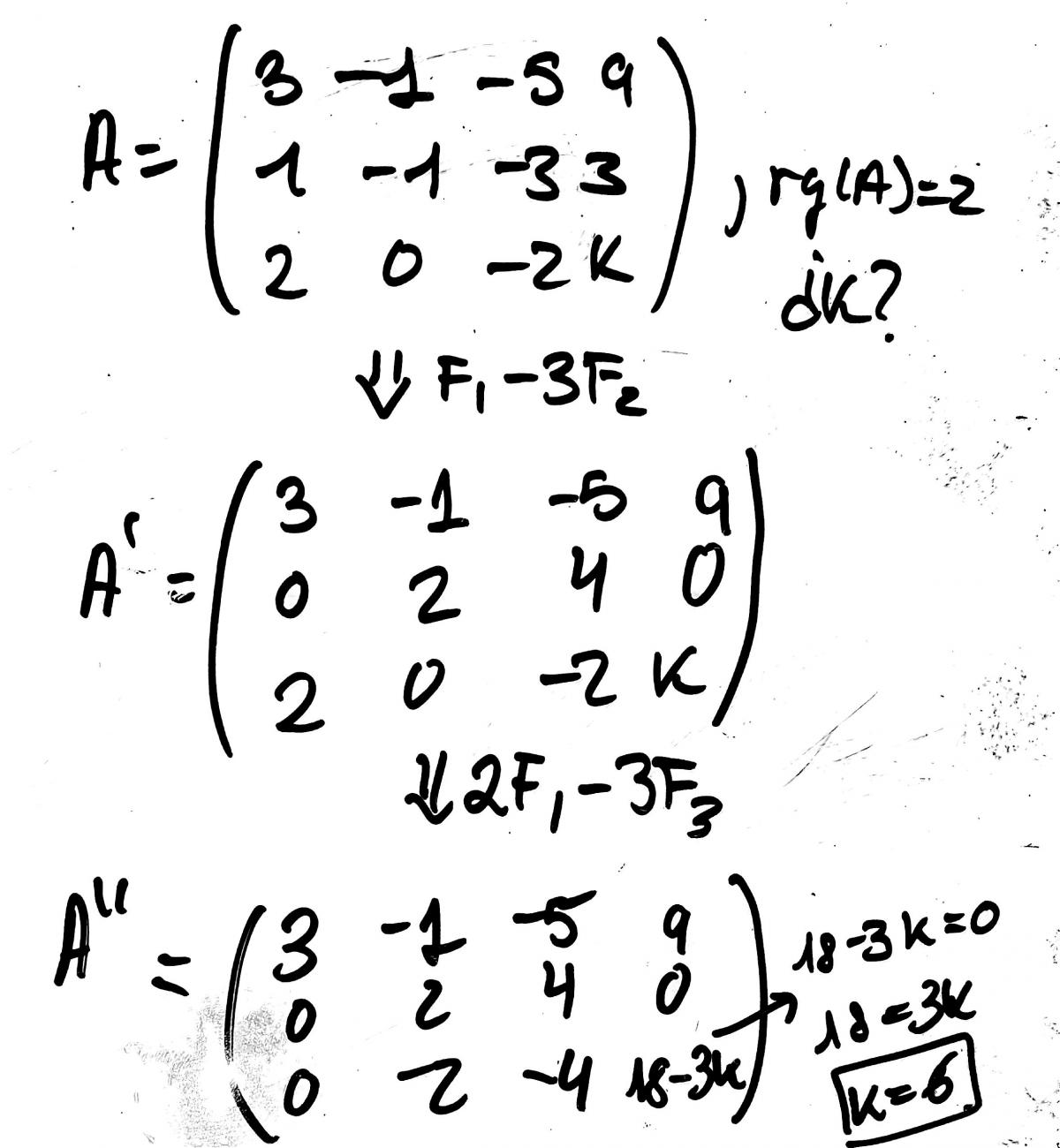
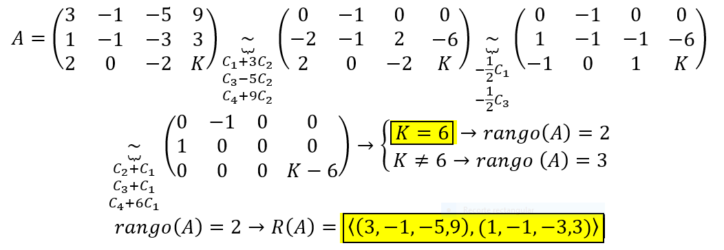
    Alguien me ayuda? Intento hacer la reducción para encontrar el valor de K y me queda la columna (0 0 0 k) 

    replythumb_up0 voto/sflag
    icon

    Yauset Cabrera
    el 22/3/19


    thumb_up1 voto/sflag
    icon

    Antonius Benedictus
    el 22/3/19


    thumb_up1 voto/sflag
  • icon

    Daiana Zapata
    el 22/3/19

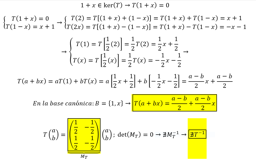
    Hola. Me podrían ayudar con este ejercicio, por favor?



    Estuve viendo el video que hay acerca de este tema, pero no me dio al intentar comprobar, así que claramente no lo entendí.
    Agradecería que fueran lo mas especifico que puedan en cada paso, para poder entender bien el ejercicio. 
    Muchas gracias.

    replythumb_up0 voto/sflag
    icon

    Antonius Benedictus
    el 22/3/19


    thumb_up0 voto/sflag
    icon

    César
    el 22/3/19

    Venga, va el otro


    thumb_up0 voto/sflag
  • icon

    Antonio Omg
    el 22/3/19

    Representar indicando dominio recorrido asintota punto de corte con los ejes y otro punto f(x)=log de base 3 y de argumento (x-5)

    replythumb_up0 voto/sflag
    icon

    Antonius Benedictus
    el 22/3/19


    thumb_up0 voto/sflag
  • icon

    Uriel Dominguez
    el 22/3/19

    Alguien que me ayude con alguno de esos ejercicios, por favor

    replythumb_up0 voto/sflag
    icon

    Antonius Benedictus
    el 22/3/19


    thumb_up1 voto/sflag
    icon

    Antonius Benedictus
    el 22/3/19


    thumb_up1 voto/sflag
  • icon

    Ana Laura
    el 22/3/19

    Hola por favor me podéis ayudar? No se como hacerlo. Muchas gracias. Es el ejercicio número 2 la k me lía y no se por donde empezar. 

    replythumb_up0 voto/sflag
    icon

    Antonius Benedictus
    el 22/3/19


    thumb_up0 voto/sflag
  • icon

    luis manuel ovalle jaimes
    el 22/3/19

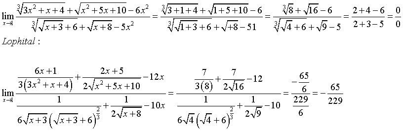
    buenas, necesito ayuda para resolver este problema y no se como resolverlo, si lo pudieran resolver se los agradeceria ya que es para un parcial, el problema es el siguiente:


    Calcular el volumen del sólido generado al hacer girar la región acotada por las gráficas de f(x)=2-X^2 y g(x)=1 en torno a la recta y=1

    Gracias de antemano.

     

    replythumb_up0 voto/sflag
    icon

    César
    el 22/3/19

  • icon

    Y3
    el 21/3/19

    El problema me pide que averigue a y b, he aplicado la definición de m de la fórmula de asíntota a la a y a la b he aplicado la n (con definición de asíntota me refiero a y=mx + n). El problema está en la c, he probado varias maneras y ninguna me convence. Que me recomiendan? Gracias amigos.

    replythumb_up0 voto/sflag
    icon

    Antonius Benedictus
    el 21/3/19

    Está correcto, Yasmin.

    thumb_up0 voto/sflag
  • Usuario eliminado
    el 21/3/19

    Como se resuelve esto?

    replythumb_up0 voto/sflag
    icon

    Antonius Benedictus
    el 21/3/19


    thumb_up0 voto/sflag