Foro de preguntas y respuestas de Matemáticas

logo beUnicoos
Los foros de unicoos se han unificado en nuestra nueva plataforma beUnicoos. Para dejar nuevas preguntas deberás hacerlo allí, donde además podrás encontrar nuevas asignaturas y herramientas para ayudarte más con tus estudios.

  • icon

    Y3
    el 23/3/19

    Alguien comprende este paso? Gracias


    replythumb_up0 voto/sflag
    icon

    Antonius Benedictus
    el 23/3/19


    thumb_up0 voto/sflag
  • icon

    Y3
    el 23/3/19

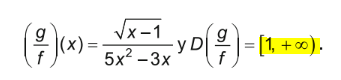
    No logro comprender este resultado. Mi profesor me dijo que debía hacer una intersección con el dom del denominador y del numerador, y me sale D(denominador)= (-∞, 0) U (3/5, +∞) Esto es según mi calculadora. Luego he averiguado el D(numerador)= [1, +∞). Y llega el paso final en el que hago la intersección y me sale: (-∞, 0) ∩ [1, ∞+). Espero que alguien me comprenda, mil gracias por todo.

    replythumb_up0 voto/sflag
    icon

    Antonius Benedictus
    el 23/3/19


    thumb_up0 voto/sflag
    icon

    Y3
    el 23/3/19

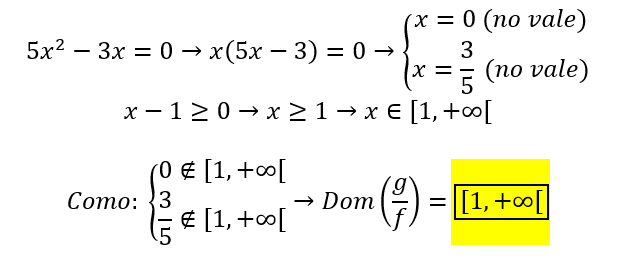
    Entonces si las soluciones del denominador no pertenecen al numerador, no las incluyo? :v

    thumb_up0 voto/sflag
  • icon

    Y3
    el 23/3/19

    No entiendo a qué viene ese 2. Me podría alguien confirmar que es un fallo del libro o tiene algún origen razonable. Gracias compañeros de planeta xdxddxd

    replythumb_up0 voto/sflag
    icon

    Antonius Benedictus
    el 23/3/19

    Errata (en el enunciado o en la resolución).

    thumb_up0 voto/sflag
  • icon

    Lourdes Perez Borrero
    el 23/3/19

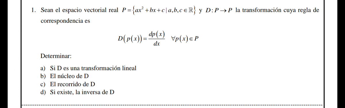
    Buenas alguien que me pueda ayudar con este problema

    replythumb_up0 voto/sflag
    icon

    César
    el 24/3/19


    thumb_up1 voto/sflag
  • icon

    Y3
    el 23/3/19

    Los signos se multiplican antes de convertirse a exponente, no? Gracias.

    replythumb_up0 voto/sflag
    icon

    Antonius Benedictus
    el 23/3/19

    (-A)/(-B)=A/B

    thumb_up0 voto/sflag
    icon

    Y3
    el 23/3/19

    Y lo de dentro puedes ver que se ha cambiado todo a positivo, pues no lo entiendo... 

    thumb_up0 voto/sflag
  • icon

    Y3
    el 23/3/19

    El resultado según un ejercicio está bien, pero he seguido una manera diferente, me gustaría saber si está bien o si debería modificar algo. Graciaas!

     

    replythumb_up0 voto/sflag
    icon

    Antonius Benedictus
    el 23/3/19

    Está perfecto.


    thumb_up0 voto/sflag
  • icon

    Y3
    el 23/3/19

    Creéis que está bien? Gracias.

    replythumb_up0 voto/sflag
    icon

    Antonius Benedictus
    el 23/3/19

    Hay que poner un paréntesis a (n^2+3n).

    Resultado correcto.

    thumb_up0 voto/sflag
  • icon

    Maty Perez
    el 23/3/19

    ¿Hola me podrían ayudar con este problema de funciones irracionales por faaa ??

    Graficar y encontrar el dominio, imagen y asistotas de Y= 2x/(x^2-25)^1/2 . Ya saque los 2 valores de x pero mi pregunta es como sacar el grado del numerador y el grado del denominador ??. Se que el grado del numerador es 1 pero el del denominador como lo saco ??.

    replythumb_up0 voto/sflag
    icon

    Antonius Benedictus
    el 23/3/19


    thumb_up0 voto/sflag
  • icon

    Y3
    el 23/3/19

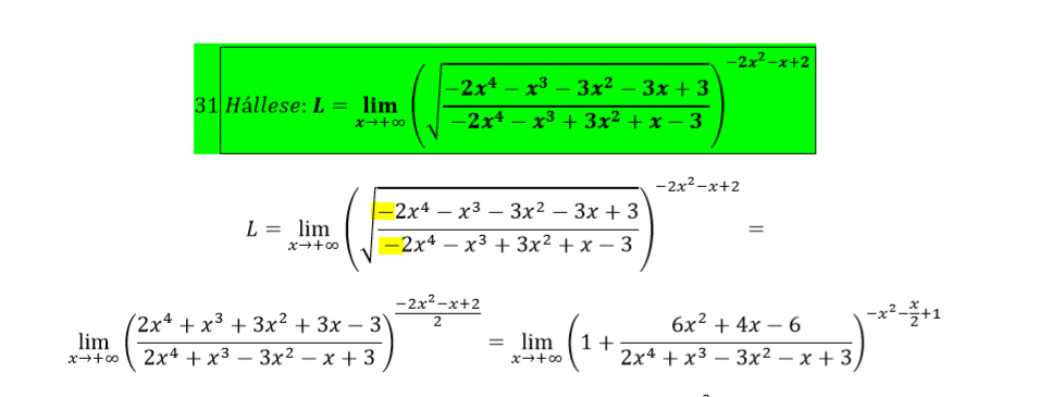
    No comprendo la finalidad matemática de este paso. Thanks 

    replythumb_up0 voto/sflag
    icon

    Antonius Benedictus
    el 23/3/19

    Yo tampoco. No es necesario.

    Es correcto, pues (A/B)^N =(B/A)^(-N)

    thumb_up0 voto/sflag
  • icon

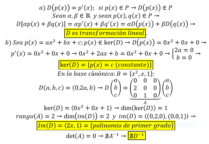
    Uriel Dominguez
    el 22/3/19

    Me ayudan con ese? Por favor

    replythumb_up0 voto/sflag
    icon

    Antonius Benedictus
    el 22/3/19


    thumb_up1 voto/sflag