Foro de preguntas y respuestas de Matemáticas

logo beUnicoos
Los foros de unicoos se han unificado en nuestra nueva plataforma beUnicoos. Para dejar nuevas preguntas deberás hacerlo allí, donde además podrás encontrar nuevas asignaturas y herramientas para ayudarte más con tus estudios.

  • icon

    Uriel Dominguez
    el 12/3/19

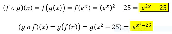
    Qué tal, me podrían ayudar con esos ejercicios de teoría? Algunas preguntas las he respondido pero quisiera saber si están bien, y sino, porqué 

    replythumb_up0 voto/sflag
    icon

    Antonius Benedictus
    el 12/3/19

    Está  todo bien.

    La pregunta 3ª: No, no es única. De hecho, hay infinitas.

    thumb_up1 voto/sflag
  • icon

    Ulises Peña
    el 12/3/19


    replythumb_up0 voto/sflag
    icon

    Antonius Benedictus
    el 12/3/19


    Buenos días. 


    thumb_up0 voto/sflag
  • icon

    Lalo Rodriguez
    el 12/3/19

    como se gráfica. Y estoy. Bien en el procedimiento

    replythumb_up0 voto/sflag
    icon

    César
    el 12/3/19


    thumb_up0 voto/sflag
    icon

    César
    el 12/3/19


    thumb_up0 voto/sflag
  • icon

    Sandra Salazar
    el 11/3/19

    Como resuelvo raiz (x-1)= (x-3)^2 + 1?

    replythumb_up0 voto/sflag
    icon

    Antonius Benedictus
    el 11/3/19

    Sube foto del enunciado original, por favor.

    thumb_up0 voto/sflag
    icon

    Antonio
    el 11/3/19

    este video te ayudará a resolver este tipo de ecuaciones



    thumb_up0 voto/sflag
  • icon

    Ahlam.
    el 11/3/19

    en el 5, la razón en el area se convierte en 0.25 y el volumen en 0.025? 

    replythumb_up0 voto/sflag
    icon

    César
    el 11/3/19

    0.5^2 =0.25 para áreas

    0.5^3=0.125 para volumen

    de la medida original

    thumb_up1 voto/sflag
  • icon

    Y3
    el 11/3/19

    Hola no entiendo nada de estos signos ni por qué sale eso o lo otro :(

    replythumb_up0 voto/sflag
    icon

    César
    el 11/3/19


    thumb_up1 voto/sflag
    icon

    Y3
    el 11/3/19

    No lo entiendo, porque si + significa acercarse por la derecha entonteces tendré números positivos y no tendría problemas con la raíz... Lo siento y gracias 

    thumb_up0 voto/sflag
    icon

    César
    el 12/3/19

    4-4.1<0


    thumb_up2 voto/sflag
    icon

    Quiroga
    el 12/3/19

    Hola, yo tengo un truco pero a veces no funciona bien, pero quizás te sirva. Bueno en bachillerato me funcionaba prácticamente siempre, y si te dejan utilizar calculadora pues mejor. 


     


    thumb_up0 voto/sflag
    icon

    Y3
    el 12/3/19

    MUCHAS  GRACIAAAAAAAS!!! :))))

    thumb_up0 voto/sflag
  • icon

    El Toni
    el 11/3/19

    Hola profesores, como os sentís al ayudar a taaaaaaanta gente taaaaaantas veces me pareceis increibles cada dia de vuestras vudas ayudando en tofo lo posible y asegurandoos q lo hayamos entendido increible eso si q es un profesor os adoro no se como podria pagaroslo espero q estas palabras dd reconocimiento os sirvan para q veais la gratitud de todos los alumnos a los q ayudais de verdad sois impresionantes

    replythumb_up2 voto/sflag
    icon

    Antonius Benedictus
    el 11/3/19

    Gracias, Toni. Palabras como las tuyas ya nos gratifican. ¡A estudiar y a ser ciudadanos decentes y solidarios!

    thumb_up2 voto/sflag
    icon

    César
    el 11/3/19

    Nada Toni unos jamones y listo.

    thumb_up3 voto/sflag
    icon

    Y3
    el 11/3/19

    Gracias a vosotros despertó en mi la pasión por las mates y la fisica. Muchas gracias por dedicarnos vuestro tiempo!!!!!! :)))))))))))))))))))

    thumb_up2 voto/sflag
  • icon

    Quiroga
    el 11/3/19

    Hola alguien me puede explicar por qué el primer limite de integración es 1 y 0. Es decir supongo que estará relacionado con la altura o la base, pero al ser las dos las mismas...

    Es el apartado a. 


    replythumb_up0 voto/sflag
    icon

    César
    el 11/3/19

    La x varia entre 0 y 1, f´jate en la gráfica.


    thumb_up1 voto/sflag
    icon

    Quiroga
    el 11/3/19

    Cierto, muchas gracias. 

    thumb_up0 voto/sflag
  • icon

    El Toni
    el 11/3/19


    replythumb_up0 voto/sflag
    icon

    Antonius Benedictus
    el 11/3/19



    thumb_up1 voto/sflag
    icon

    Antonius Benedictus
    el 11/3/19


    thumb_up1 voto/sflag
  • icon

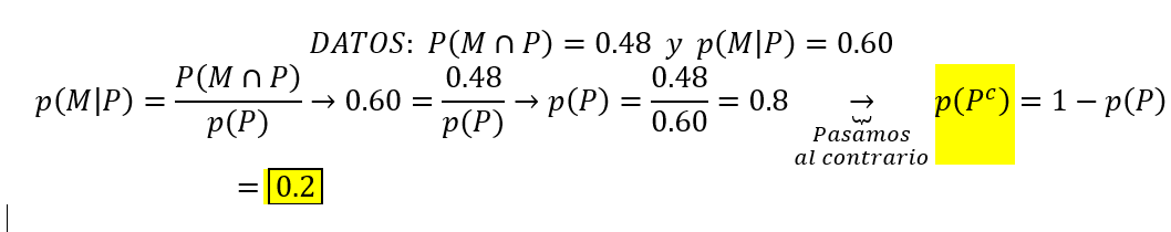
    Tere Arema
    el 11/3/19

    esto es imposible verdad?

    Actividad 13: Se ha comprobado que el 48% del alumnado de 2º de Bachillerato es aficionado a la música clásica y a la pintura y que el 60% de los aficionados a la pintura también son aficionados a la música clásica. Si se elige al azar un alumno/a de 2º de Bachillerato, ¿qué probabilidad hay de que no sea aficionado a la pintura? 

     

    replythumb_up0 voto/sflag
    icon

    Antonius Benedictus
    el 11/3/19


    thumb_up1 voto/sflag
    icon

    Tere Arema
    el 12/3/19

    gracias

    thumb_up0 voto/sflag