hola alguien sabria ayudarme? es que hago los ejercicios y miro los resultados y no me concuerdan algunos.no se si estara mal por mi parte o mal el resultado que me dan en las fichas que no seria la primera vez.
Actividad 10: Se lanzan dos monedas al aire. Si salen dos caras, se extrae una bola de la urna 1, que contiene 3 bolas blancas y 3 negras. Si sale cara y cruz, se extrae de la urna 2, que contiene 4 bolas blancas y 1 negra. Si salen dos cruces, se extrae una bola de la urna 3, que contiene 3 bolas blancas y 2 negras. ¿Cuál es la probabilidad de extraer bola blanca después de lanzar las monedas y sacar la bola?
Actividad 11: Dos jugadores A y B inician cierto juego con 3 € cada uno. Al finalizar cada partida, el ganador recibe 1 € del perdedor. Sabiendo que A tiene una probabilidad de 0,6 de ganar la partida y que el juego finaliza cuando alguno de los dos se quede sin dinero, contesta razonadamente:
a) ¿Cuál es la probabilidad de que A tenga 2 € tras jugar 2 partidas? b) ¿Cuál es la probabilidad de que A tenga 4 € tras jugar 3 partidas? c) ¿Cuál es la probabilidad de finalizar el juego tras jugar 3 partidas
Hola, me podrían echar una mano por favor?
Ejercicio 1El tiempo transcurrido entre las llamadas que se reciben diariamente en un servicio de atención telefónica es una variable aleatoria con distribución exponencial. Los tiempos transcurridos entre las últimas 16 llamadas fueron los siguientes (en minutos): 2.35, 0.61, 8.8, 8.19, 1.66, 11.4, 7.06, 0.56, 1.4, 0.83, 3.95, 0.7, 5.63, 1.04, 3.1, 2.53. Estima el valor del parámetro de esta distribución y calcula un intervalo de confianza al 95% para dicho parámetro.

¡Hola! Nos encantaría ayudarte, pero no solemos responder dudas universitarias que no tengan que ver específicamente con los vídeos que David Calle ha grabado como excepción. O de otras asignaturas que no sean Matemáticas, Física y Química. Lo sentimos de corazón… Esperamos que lo entiendas.
Ojalá algún unicoo universitario se anime a ayudarte (de hecho, lo ideal es que todos los universitarios intentarais ayudaros los unos a los otros).

¡Hola! Nos encantaría ayudarte, pero no solemos responder dudas universitarias que no tengan que ver específicamente con los vídeos que David Calle ha grabado como excepción. O de otras asignaturas que no sean Matemáticas, Física y Química. Lo sentimos de corazón… Esperamos que lo entiendas.
Ojalá algún unicoo universitario se anime a ayudarte (de hecho, lo ideal es que todos los universitarios intentarais ayudaros los unos a los otros).
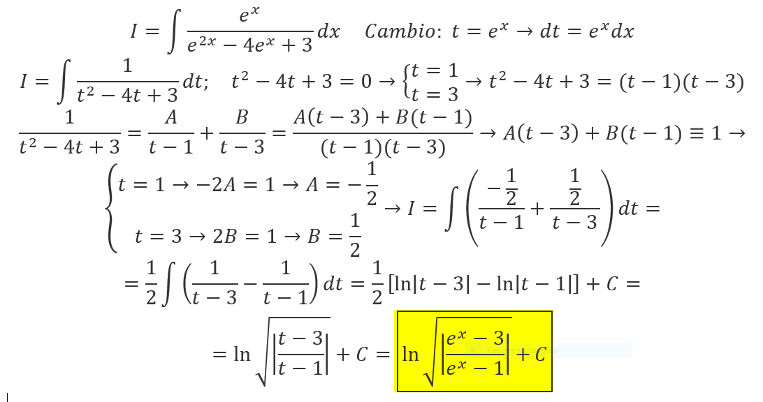
Hola, tengo un problema con un ejercicio ya que lo compruebo muchas veces y me debería ir bien (4/36), pero según la solución (7) no me da. Aquí dejo el enunciado:
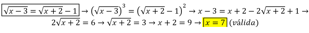
√x-3 = √x+2 -1
Hola, me pueden ayudar con este problema
Calcular el valor máximo y el valor mínimo de la expresión sin X + sin Y.
Si se cumple que;
A) X≥0
B) Y≥0
C) X + Y = 2π/3

¡Hola! Nos encantaría ayudarte, pero no solemos responder dudas universitarias que no tengan que ver específicamente con los vídeos que David Calle ha grabado como excepción. O de otras asignaturas que no sean Matemáticas, Física y Química. Lo sentimos de corazón… Esperamos que lo entiendas.
Ojalá algún unicoo universitario se anime a ayudarte (de hecho, lo ideal es que todos los universitarios intentarais ayudaros los unos a los otros).
Hola, me pueden decir si lo he resuelto bien
Debo aplicar esta formula: TI= nºcasos nuevos de una enfermedad/personas-tiempo en riesgo de todos los individuos del estudio
pero al variar los años de cada persona me lió.

Me encantaría ayudarte, pero no respondo dudas universitarias que no tengan que ver específicamente con los videos que ya he grabado como excepcion. O de otras asignaturas que no sean matemáticas, física y química. Lo siento de corazón… Espero lo entiendas
Ojalá algun unicoo universitario se anime a ayudarte (de hecho lo ideal es que todos los universitarios intentarais ayudaros los unos a los otros)
hola
alguien me ayudaría con los siguientes ejercicios?
calcula las razones trigonométricas si cos∝=1/3 si la tang∝ <0
demuestra la igualdad: sen∝cos∝/ tang∝= 1- sen 2∝

a)
Observa que el coseno es positivo en el primer y en el cuarto cuadrante, y que la tangente es negativa en el segundo y en el cuarto cuadrante, por lo que tienes que el ángulo α pertenece al cuarto cuadrante, por lo que tienes que el seno del ángulo es negativo.
Planteas la expresión del seno como función del coseno, y queda:
senα = -√(1-cos2α) = -√( 1-(1/3)2 ) = -√(1-1/9) = -√(8/9) = -√( (4/9)*2 ) = -√(4/9)*√(2) = (-2/3)*√(2).
Luego, tienes:
tanα = senα/cosα = (-2/3)*√(2)/(1/3) = -2*√(2);
cotgα = 1/tanα = 1/( -2*√(2) ) = 1*√(2)/( -2*√(2)*√(2) ) = √(2)/( -2*√(4) ) = √(2)/( -2*2 ) = √(2)/(-4) = -√(2)/4;
secα = 1/cosα = 1/(1/3) = 3;
cosecα = 1/senα = 1/( (-2/3)*√(2) ) = -3/( 2*√(2) ) = -3*√(2)/( 2*√(2)*√(2) ) = -3*√(2)/( 2*√(4) ) = -3*√(2)/( 2*2 ) = -3*√(2)/4.
b)
Con respecto a esta identidad, por favor verifica que la misma esté correctamente consignada, o que el enunciado de este apartado este correcto, porque tal como la tienes escrita es Falsa (observa que para: α = 0 tienes que el primer miembro es igual a cero y que el segundo miembro es igual a uno, por lo que resulta una identidad absurda).
Espero haberte ayudado.
¡Hola! Muy buenas tardes. ¿Podrían resolver esos ejercicios junto a una explicación? Por favor.
Quiero decir, explicar por qué realizan esos pasos. Sé que suena a petición exagerada o pesada, pero es algo que no puedo resolver por mi cuenta y me abruma.
Por favor, por favor, por favor. Gracias a quien pueda hacerlo.