Hola, soy matrona, y ultimamente nos preguntan cositas de estadistica en las oposiciones y me gustaría poder contestar y entender este tipo de preguntas: la respuesta correcta es la D
Cuando hablamos q en una distribución normal “la proporción de pacientes que mejorarón con el tratamiento X es de un 75 %, con un error estándar del 3%” podemos decir que:
A) la proporción de pacientes que mejoró fue del 75% con un IC 95% (69%-81%)
B) la proporción de pacientes que mejoró fue del 75% con un IC 99% (67,5%-82,5%)
C) la proporción de pacientes que mejoró fue del 75% con un IC 95% (72% -78%)
D) a) y b) son correctas
Seguro q es muy facilita, pero llevo mucho tiempo estudiando fisiología y poca estadística o nada! Jejeje
muchas gracias!
Hola unicoos, me podrian ayudar con este ejercicio?
Saben como se parametriza la funcion?
Muchas gracias!

¡Hola! Nos encantaría ayudarte, pero no solemos responder dudas universitarias que no tengan que ver específicamente con los vídeos que David Calle ha grabado como excepción. O de otras asignaturas que no sean Matemáticas, Física y Química. Lo sentimos de corazón… Esperamos que lo entiendas.
Ojalá algún unicoo universitario se anime a ayudarte (de hecho, lo ideal es que todos los universitarios intentarais ayudaros los unos a los otros).
Este tampoco me sale.
Un grupo de amigos celebra una comida cuyo coste total asciende a 120 €. Uno de ellos hace notar que, si fueran
cuatro más, hubieran pagado 5 € menos por persona. ¿Cuántos amigos son y cuánto paga cada uno?
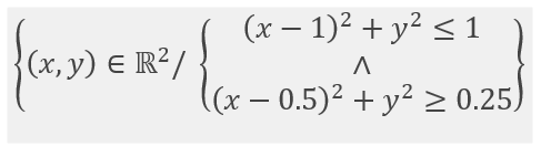
Alguien me puede decir como calcular el Dominio del area azul?
Supongo que sera calculando los dos dominios de las dos circumferencias y luego restando el de la circumferencia pequeña a la grande. De momento solo he conseguido sacar sus ecuaciones: Grande: (x-1)^2+y^2 = 1 Pequeña:(x-0.5)+y^2 = 0,25
Me piden que resuelva tgx=cosx.
He intentado guiarme por vídeos como este https://www.unicoos.com/video/matematicas/1-bachiller/trigonometria/ecuaciones-trigonometricas/ecuacion-trigonometrica-03
pero la respuesta que hallo es tan absurda [senx= -1-(raiz de 5)/2] que creo que no lo estoy haciendo bien.
¿Alguien me puede echar una mano y decirme qué hago mal?