No sé como simplificar ( factorizando ) la última fracción algebraica por qué al buscar raíz no me sale ni racional ni entera. Me gustaría una explicación pasó a pasó de como simplificar/factorizar ( y ver si me equivoque en algo xD ) muchas gracias

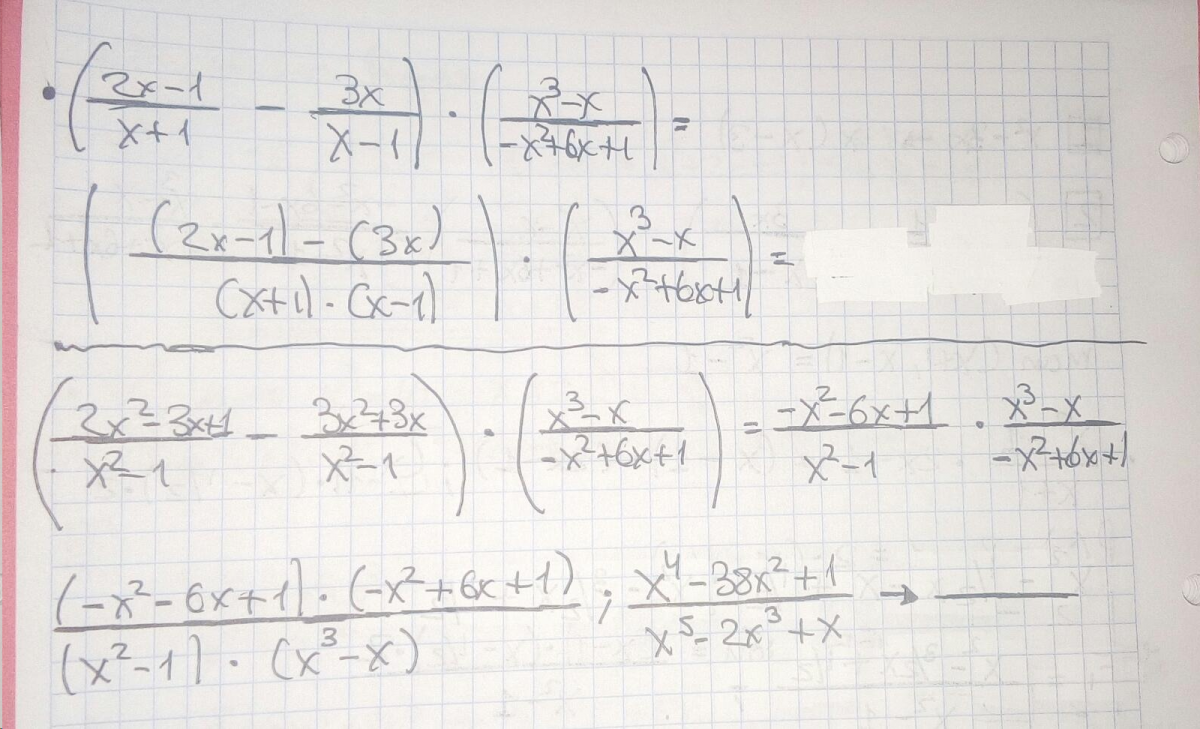
Observa que puedes factorizar en las expresiones que tienes al comienzo:
[ (2x2-3x+1)/(x2-1) - (3x2+3x)/(x2-1) ] * [ (x3-x)/(-x2+6x+1) ] =
extraes denominador común entre los dos términos del primer agrupamiento, resuelves el numerador, y queda:
= [ (-x2-6x+1)/(x2-1) ] * [ (x3-x)/(-x2+6x+1) ] =
factorizas el denominador de la primera expresión, factorizas el numerador de la segunda expresión, y queda:
= [ (-x2-6x+1) / (x-1)(x+1) ] * [ x(x-1)(x+1) / (-x2+6x+1) ] =
simplificas las expresiones remarcadas, resuelves, ordenas factores en el numerador, y queda:
= x*(-x2-6x+1) / (-x2+6x+1) (1).
Luego, planteas las factorizaciones de los polinomios cuadráticos (observa que tienen raíces irracionales), y queda:
-x2-6x+1 = -1(x2+6x-1) = -1( x-(-3+√(10) )( x-(-3-√(10) ) = -1( x+3-√(10) )( x+3+√(10) ) (2);
-x2+6x+1 = -1(x2-6x-1) = -1( x-(3+√(10) )( x-(3-√(10) ) = -1( x-3-√(10) )( x-3+√(10) ) (3).
Luego, sustituyes las expresiones señaladas (2) (3) en la expresión señalada (1), simplificas factores numéricos, y la expresión algebraica de tu enunciado, simplificada y factorizada, queda:
[ (2x2-3x+1)/(x2-1) - (3x2+3x)/(x2-1) ] * [ (x3-x)/(-x2+6x+1) ] = x*( x+3-√(10) )( x+3+√(10) ) / ( x-3-√(10) )( x-3+√(10) ),
y observa que la expresión remarcada no es simplificable.
Espero haberte ayudado.

¡Hola! Nos encantaría ayudarte, pero no solemos responder dudas universitarias que no tengan que ver específicamente con los vídeos que David Calle ha grabado como excepción. O de otras asignaturas que no sean Matemáticas, Física y Química. Lo sentimos de corazón… Esperamos que lo entiendas.
Ojalá algún unicoo universitario se anime a ayudarte (de hecho, lo ideal es que todos los universitarios intentarais ayudaros los unos a los otros).
Estudiar la continuidad y las asíntotas de la siguiente función definida a trozos en función de los parámetros a y b (a,b números reales)
|X+a| si x≤0
ƒ(x)=
|x-b| si x>0
Gracias Antonio, pero ¿cómo se calculan estos c asos?
Hay estos casos a favor:
(3,6),(4,5),(5,4) y (6,3).
¿Hay que hacer todos lso casos posibles para calcularlos? NOsotros creo que tenemos que calcular las cosas con las fórmulas ce combinatoria
Hola!! tengo esta duda en probabilidad, en la ley de laplace: "en el lanzamiento de dos daddos, calcula P(A) si A es: suma de caras igual a 9. ".
como Laplace hay que dividir el número de sucesos favorables al suceso entre en número de sucesos totales, yo he calculado los sucesos totales que son 36 (porque he hecho de combinatoria una variación de 6 a la 2), pero ¿cómo se calcula lo de que la suma de sus caras sea igual a 9??? Gracias!!!!
Disculpe, como logro resolver la siguiente ecuacion, 2x²+3x+1