Hola, estoy buscando un video sobre las ecuaciones irracionales, pero no lo encuentro en ningún curso ¿Me podríais decir dónde está (si lo hay)?
https://www.youtube.com/watch?v=KKmTMctY4LU
Mírate este video, y si sigues con dudas , nos lo dices.
hola unicoos buen día, tengo problemas con este ejercicio me podrías ayudar por favor, seria de gran ayuda. gracias
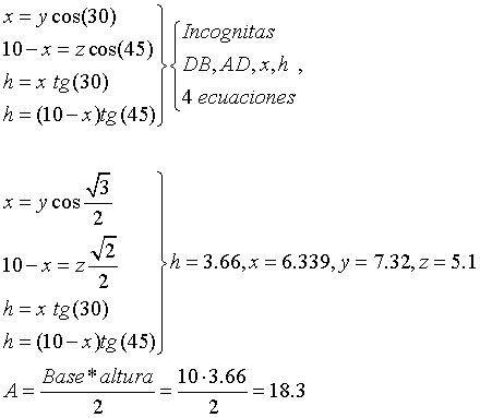
Hola buenas tardes queria hacer una consulta sobre este ejercicio:
y tengo la sospecha que esta mal planteado,
Osea porque si la distancia es 5 nunca pasaria por la interseccion de esas rectas, es lo que supongo yo
Y lo grafique pero no se si sea lo bastante demostrativo, me podrian colaborar con alguna demostracion mas veras?
Buenas a todos.
Tengo un problema a la hora de resolver un ejercicio con el Teorema del Coseno. Me dan como datos a=132m, b=213m, c=156m, y me piden hallar el ángulo B.
Comienzo el ejercicio con la fórmula b2=a2+c2-2ac·cosB, sustituyendo las incógnitas que puedo me queda:
2132=1322+1562-2·132·156·cosB --> 45369=17424+24336-41184·cosB --> 45369=576·cosB --> cosB=45369/576 --> cosB=78.765625
Y ahí comienza el problema, pues para calcular B, hago la inversa del coseno, y me da error. Imagino que es porque algo he hecho mal. ¿Me podéis ayudar?

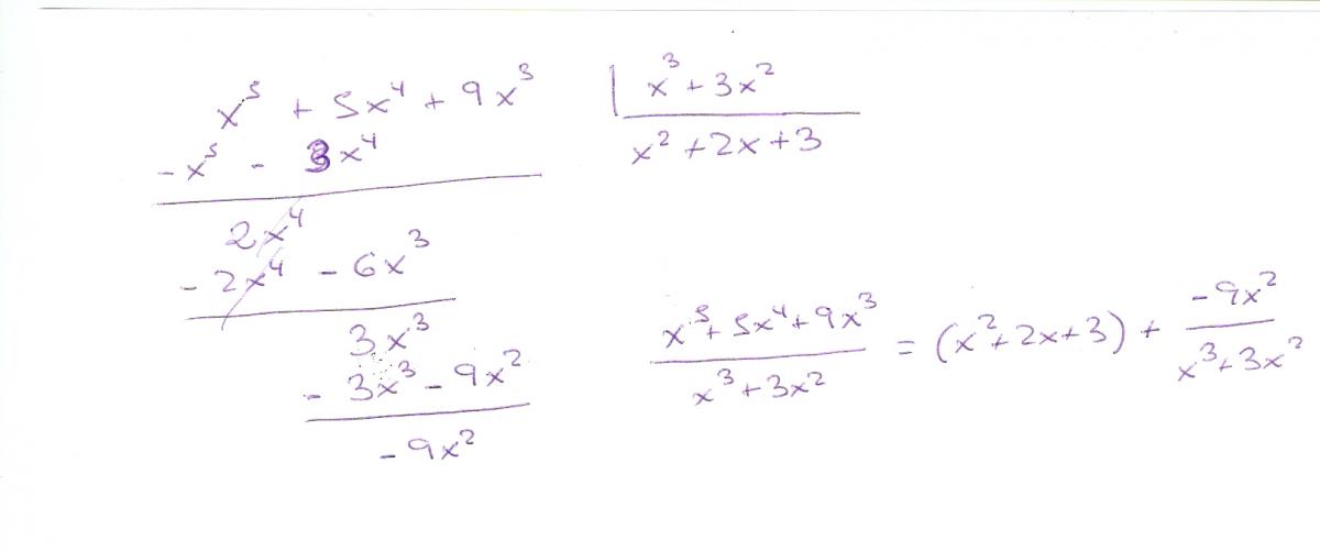
Has simplificado correctamente la expresión algebraica fraccionaria,
y has planteado correctamente la división de su numerador entre su denominador, pero observa que el resto es -9,
pero observa que la forma correcta para plantear la igualdad entre expresiones es (observa que x no puede tomar el valor 0 ni el valor -3, ya que ambos valores anulan el denominador):
(x5+5x4+9x3)/(x3+3x2) = (x3+5x2+9x)/(x+3) = x2+2x+3 - 9/(x+3);
y puedes verificar que la última igualdad es válida si extraes denominador común y resuelves en el último miembro.
Espero haberte ayudado.