
Muy parecido al anterior.
Halla la probabilidad de que sean del mismo color...
P(mismo color)= P(las dos sean rojas) + P(las dos sean blancas) + P(las dos sean negras) = (8/20)(7/19) + (7/20)(6/19) + (5/20)(4/19) = 56/380 + 42/380 + 20/380 = 118/380
Y ahora, probabilidad condicionada P(sean rojas / mismo color) = P(A∩B) / P(B) = (56/380) / (118/380) = 56/118
Te sugiero estos videos...
Hola alguien me puede ayudar,
Encontrar los numeros complejos z tal que z^4 = -16
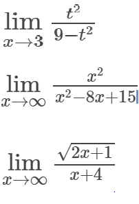
en primer lugar sustituimos
nos da ∞/∞
aplicamos el truco de los grados
en el numerador tenemos una raíz cuadrada de un polinomio de grado 1 por lo que el grado es medio
en el denominador tenemos un polinomio de grado 1 por lo que el grado es 1
como el grado del denominador(1) es mayor que el grado del numerador(1/2) la solución final es 0.
Otra forma de hacerlo es dividiendo todo por x elevado a 1 pues es el grado mayor, dentro de la raíz tiene que ser x2
Soy Javier Mendoza.Planteé un problema de probabilidad que no se me contestó.Lo saqué por mi cuenta sin total segurodad.Si la dirección me dice el porqué se me ignora estarè más tranquilo.Creo que lo solucioné y quería la confirmacoón de un matemático.El día 7 de Marzo me vence el pago que hice.Evidentemente si la cosa sigue igual y se me ignora de esta manera,me veré obligado por sentido común a prescindir de los servicios de este portal.Son otro particular,espero vuestra respuesta.

Buenas tardes Javier,
Si tienes algún problema que se salga de los contenidos que se tratan en los foros de unicoos será mejor que escribas un mail a soporte@unicoos.com
No obstante hemos revisado y tu primera pregunta realizada tiene contestación de un profesor pidiéndote que explicaras un poco más ya que no entendía tu enunciado: https://www.unicoos.com/discusion/201654
Un saludo