Foro de preguntas y respuestas de Matemáticas

logo beUnicoos
Los foros de unicoos se han unificado en nuestra nueva plataforma beUnicoos. Para dejar nuevas preguntas deberás hacerlo allí, donde además podrás encontrar nuevas asignaturas y herramientas para ayudarte más con tus estudios.

  • icon

    Javier Mendoza Rivilla
    el 11/2/19

    Buenas César.A ver si explico mejor el problema que seguro lo he explicado sin claridad.Os pido disculpas..Imaginemos que observo 1000 matrículas en dos días,500 por día.El primer día observo 8 de ellas con cuatro digitos iguales(ej 4444).El segundo día,repito el experimento y esta vez veo 30 pero de tres números o dígitos iguales consecutivos(solo valen ej7771no el 7717,tienen que ir pegados los tres dígitos iguales,no alternos)¿què probabilidad César existe de que esto suceda en la realidad?.Muchas,muchas gracias.No sé César explicarlo mejor.Espero con gran ínteres tu respuesta.

    replythumb_up0 voto/sflag
    icon

    César
    el 12/2/19

    A ver si Antonio que sabe mas estadística que yo, te echa una mano


    thumb_up1 voto/sflag
  • icon

    Bernardo
    el 11/2/19

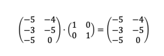
    Gracias Antonio, yo creía que era más complicado y había que buscar dos matrices diferentes de la solución.

    replythumb_up0 voto/sflag
    icon

    Antonio
    el 11/2/19

    Ya te encontré dos diferentes a la solución!!!!

    thumb_up0 voto/sflag
    icon

    Bernardo
    el 15/2/19

    Hola Antonio me puedes explicar como has llegado  al resultado, es decir que camino has seguido para determinar las matrices solución.

    Muchas gracias y disculpa.


    thumb_up0 voto/sflag
  • icon

    Bernardo
    el 11/2/19

    Antonio se supone que A*B tienen que ser distintas que el resultado. Creo

    replythumb_up0 voto/sflag
    icon

    Antonio
    el 11/2/19

    El enunciado no dice eso, dice buscar dos matrices que cumplan una condición y esas dos la cumplen.

    thumb_up0 voto/sflag
    icon

    Antonio
    el 11/2/19


    thumb_up0 voto/sflag
  • icon

    Sergi Raga Estruch
    el 11/2/19

    Me podéis resolver el 3, gracias 

    replythumb_up0 voto/sflag
    icon

    Antonio
    el 11/2/19


    thumb_up0 voto/sflag
  • icon

    Bernardo
    el 11/2/19

    Buenas tardes, necesito ayuda con este ejercicio de matrices,. Hay alguna formula?
    Muchas gracias






    replythumb_up0 voto/sflag
    icon

    Antonio
    el 11/2/19


    thumb_up1 voto/sflag
  • icon

    sapa
    el 11/2/19

    Estoy realizando los examenes de Matematicas de 4ESO y me estoy encontrando con soluciones erróneas. Por ejemplo, aunque mi respuesta es errónea la solución que da tambiém

    replythumb_up0 voto/sflag
    icon

    Soporte unicoos
    el 14/2/19

    Cualquier respuesta errónea que te encuentres, por favor, háznoslo saber enviando un correo a soporte@unicoos.com. Nosotros nos encargaremos de hacérsela llegar al equipo docente para que las corrijan.

    thumb_up0 voto/sflag
  • icon

    Agustin
    el 11/2/19

    Hola, estoy intentando hacer este ejercicio de sistemas de ecuaciones 

    Hasta aquí llego y me trabo

    gracias de antemano por vuestra ayuda

    replythumb_up0 voto/sflag
    icon

    César
    el 11/2/19


    thumb_up1 voto/sflag
    icon

    Agustin
    el 11/2/19

    Gracias César!

    thumb_up0 voto/sflag
  • icon

    Albert einstein
    el 11/2/19

    hola , podrian mostrarme como hacer el primer ejercicio así después sigo solo

    replythumb_up0 voto/sflag
    icon

    Antonius Benedictus
    el 11/2/19


    thumb_up1 voto/sflag
    icon

    Albert einstein
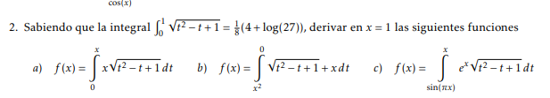
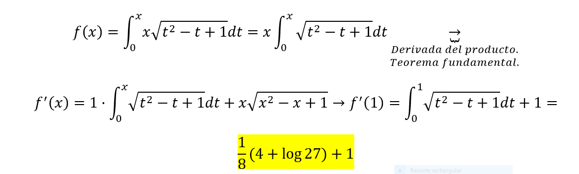
    el 11/2/19

    gracias , puedes sacar la x para afuera porque la tomas como constante? o como es?

    thumb_up0 voto/sflag
    icon

    Antonius Benedictus
    el 11/2/19

    Si dentro pone dt y no hay constancia de una relación funcional entre x y t,  x se considera constante dentro de la integral.

    thumb_up1 voto/sflag
  • icon

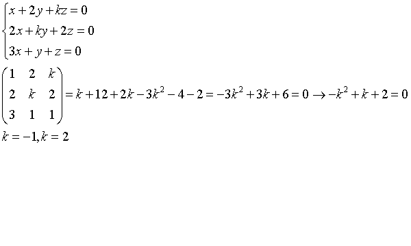
    Nepgordo
    el 11/2/19

    Dos lados r: -5x + 14y- 179=0, s: 7x - 4y + 79=0 y una diagonal t: x+ 5y=50 parten de un mismo vértice de un paralelogramo. El punto de intersección de las diagonales está en el eje OY. Encuentra los vértices y las ecuaciones de los otros lados

    replythumb_up0 voto/sflag
    icon

    Antonius Benedictus
    el 11/2/19


    thumb_up1 voto/sflag
    icon

    Antonio
    el 11/2/19


    thumb_up2 voto/sflag
  • icon

    Nabila
    el 11/2/19

    Hola me gustaría que me ayudarán con este ejercicio de la matriz inversa con determinantes.

    Solamente quiero entender el 5 paso. Cómo hago para comprobar el resultado.

    Cómo pueden ver te dan la fórmula:A.A elevado a menos uno: l

    replythumb_up0 voto/sflag
    icon

    Antonio
    el 11/2/19

    multiplica la matriz dada por la que hallaste, te tiene que dar la matriz identidad.

    thumb_up1 voto/sflag