Hola Unicoos!
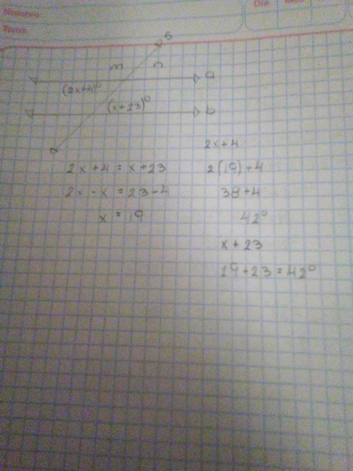
Hola Froylan! gracias por tu respuesta! Conozco esa propiedad de desigualdades... Mi duda es por qué César cambió el sentido de los signos antes de graficar... Además subí fotos de cómo los resolví para q los corrijan y no me respondieron... No sé si uso bien la forma de preguntar de nuevo cdo ya me han respondido... Quizás tengo q formularla de nuevo a la consulta. Desde ya pido disculpas por las molestias!![]()
![]()
![]()
![]()
![]()
Hola buenas, estoy interesado en su página para prepararme oposiciones a observador metereológico, aunque soy estudiante de letras, licenciado en Geografía y que quiere comenzar a introducirse en el mundo de la metereología desde la base. Llevo tiempo siguiendo vuestras clases y ahora he optado por unicoospro para poder acceder a mayor contenido. Me gustaría saber si pueden recomendarme o indicarme los videos que más se adapten a mi formación y si es posible recibir ayuda desde aquí ante mis dudas. Muchas gracias.
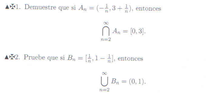
Buenas noches, ¿alguien podria orientarme sobre como se resolveria alguno de estos ejercicios? al![]()
aplicar la definicion formal de familias generalizadas de conjuntos me atasco al intentar demostrar el intervalo solucion, de antemano muchas gracias.

Me encantaría ayudarte, pero no respondo dudas universitarias que no tengan que ver específicamente con los videos que ya he grabado como excepcion. O de otras asignaturas que no sean matemáticas, física y química. Lo siento de corazón… Espero lo entiendas
Ojalá algun unicoo universitario se anime a ayudarte (de hecho lo ideal es que todos los universitarios intentarais ayudaros los unos a los otros)
Buenas
noches,
Estoy preparando unas oposiciones, en mi primer examen tengo 2
bloques.
Del primer bloque se sacan dos bolas, y se elije 1, y en este caso
no hay problema, he encontrado en internet que estudiando +20 temas,
tengo +90% de que me salga uno que me sepa.
El problema es el 2º bloque de temas.
De este 2º bloque, se sacarán 4 bolas, y se descartarán 2.
Para calcular las probabilidades me he hecho una tabla de excel,
Calculando la probabilidad total de casos posibles como las
Variaciones de 30 elementos cogidos de 4 en 4, donde el orden si
importa y sin repetición:
Lo he sacado de aquí: https://www.vitutor.com/pro/1/a_2.html
Vrm=30*29*28*27= 657 720 combinaciones posibles.
En la tercera y cuarta columna, calculo respectivamente, las
combinaciones que salen 4 temas que no me se, y 3 temas que no me sé,
que son los casos en los que fracaso.
Como la combinación sin repetición de los temas que no me he
estudiado, y 4, multiplicada por 4! por las permutaciones del orden
de estos elementos. Fórmula
-> =FACT(30-B5)/FACT(4)/FACT(30-B5-4)*FACT(4)
Y como la combinación sin repetición de los temas que no me he
estudiado, y 3, multiplicada por 4! por las permutaciones del orden
de estos elementos. Fórmula
-> =FACT(30-B5)/FACT(3)/FACT(30-B5-3)*FACT(4)
Lo mas raro de las conclusiones es que sólo tengo que estudiar 14
temas para ir con un +90% de posibilidades de éxito al examen (que
me salgan 2 temas que me se)?
Es esto congruente?
Gracias de antemano, un saludo. Javier

@page { size: 21cm 29.7cm; margin: 2cm }
p { margin-bottom: 0.25cm; line-height: 115%; background: transparent }
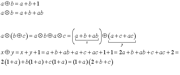
Me podrian corregir el ejercicio e? Lo que hice fue usar el TFC y derivar a ambos lados por lo que me quedo f(X)= 2x ![]()

Me encantaría ayudarte, pero no respondo dudas universitarias que no tengan que ver específicamente con los videos que ya he grabado como excepcion. O de otras asignaturas que no sean matemáticas, física y química. Lo siento de corazón… Espero lo entiendas
Ojalá algun unicoo universitario se anime a ayudarte (de hecho lo ideal es que todos los universitarios intentarais ayudaros los unos a los otros)