Foro de preguntas y respuestas de Matemáticas

logo beUnicoos
Los foros de unicoos se han unificado en nuestra nueva plataforma beUnicoos. Para dejar nuevas preguntas deberás hacerlo allí, donde además podrás encontrar nuevas asignaturas y herramientas para ayudarte más con tus estudios.

  • icon

    Laura
    el 10/2/19

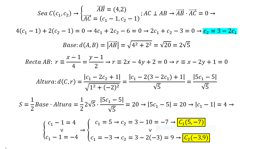
    Buenos días! Tengo una duda con un problema.

    Un triángulorectángulo en A, ABC tiene sus vértices en A(1,1) y B(5,3). Obtener C sabiendo que su área es 20u^2.

    ¡Muchas gracias!!!

    replythumb_up0 voto/sflag
    icon

    Antonius Benedictus
    el 10/2/19


    thumb_up0 voto/sflag
  • icon

    Rj Mitte
    el 10/2/19

    ayuda con este me pueden explicar esta resolución del ejercicio

    porque colocan (5k,2k,-3k) no entiendo esta parte

    replythumb_up0 voto/sflag
    icon

    Antonius Benedictus
    el 10/2/19

    Porque es la expresión de cualquier vector colineal (esto es, proprcional) con (5,2,-3).

    thumb_up0 voto/sflag
  • icon

    Nabila
    el 10/2/19

    Hola Buenos Dias me gustaria que me mandaran un video del tema de programacion lineal sobre hallar la region factible determinada por estas restricciones. Y otro video sobre una region factible y en que puntos se da el maximo y el minimo de las siguientes funciones objetivo.Necesito videos de este tema. Muchas gracias a todos los profesorez estos dias que me han resuelto las dudas . Gracias de verdad a todos.un saludo

    replythumb_up0 voto/sflag
    icon

    César
    el 10/2/19

  • icon

    Diego P
    el 10/2/19

    Hola buenos días, estoy buscando ejercicios de la ecuación de la circunferencia de 1ºde Bachiller. No se si me podrían adjuntar alguna página para poder trabajarlo. Los ejercicios son del tipo " Calcula las coordenadas del centro y del radio sabiendo puntos de la circunferencia" Muchas gracias 

    replythumb_up0 voto/sflag
    icon

    Antonius Benedictus
    el 10/2/19

    https://www.vitutor.net/1/32.html


    thumb_up1 voto/sflag
  • icon

    Salvador Martínez Martínez
    el 10/2/19


    replythumb_up0 voto/sflag
    icon

    Antonius Benedictus
    el 10/2/19

    Como, al parecer, son todos ejercicios de selectividad, busca su resolución en esta página:

    https://www.iesayala.com/selectividadmatematicas/


    thumb_up0 voto/sflag
    icon

    Salvador Martínez Martínez
    el 10/2/19

    Hola. Ese solucionario ya lo tengo y los resultados de estos ejercicios creo que no son correctos. Solo quería confirmarlo. Gracias

    thumb_up0 voto/sflag
  • icon

    Salvador Martínez Martínez
    el 10/2/19


    Buenos dias, ¿podrian hacer estos ejercicios : 2, 5, 11, 30, 31, 45, 46, 47, 50, 51, 53, 56 y 58, por favor?. Gracias

    replythumb_up0 voto/sflag
    icon

    César
    el 10/2/19

    Ya te han contestado

    thumb_up0 voto/sflag
  • icon

    Antonio Plaminovi
    el 10/2/19

    Un deposito de agua mide 3 metros de ancho,5 metros de largo y 8 metros de pronfundo.si estaba lleno y se han sacado 28600 litros¿cuantos litros quedan?

    replythumb_up0 voto/sflag
    icon

    Antonio
    el 10/2/19

    Calculemos su volumen:

    3·5·8=120m3=120000 litros

    quitémosle los 28600 litros: 

    120000 - 28600 = 91400 litros 


    thumb_up0 voto/sflag
  • icon

    Alba Monge Belenguer
    el 10/2/19


    replythumb_up1 voto/sflag
    icon

    Antonius Benedictus
    el 10/2/19


    thumb_up0 voto/sflag
  • icon

    Uriel Dominguez
    el 10/2/19

    Me ayudarían con ese ejercicio? Por favor, bueno, intenté hacerlo pero la verdad dudo mucho de que este del todo bien. 

    replythumb_up0 voto/sflag
    icon

    Antonius Benedictus
    el 10/2/19

    Si se consideran reales NO NEGATIVOS, no existe el inverso (en este caso, la pareja "opuesta")

    thumb_up1 voto/sflag
    icon

    Uriel Dominguez
    el 10/2/19

    Ah ya, entonces si no estuviera la condición de reales positivos si tendría su inverso y podría ser grupo abeliano? 

    thumb_up0 voto/sflag
  • icon

    Nepgordo
    el 10/2/19

    ej 5

    replythumb_up0 voto/sflag
    icon

    César
    el 10/2/19