Foro de preguntas y respuestas de Matemáticas

logo beUnicoos
Los foros de unicoos se han unificado en nuestra nueva plataforma beUnicoos. Para dejar nuevas preguntas deberás hacerlo allí, donde además podrás encontrar nuevas asignaturas y herramientas para ayudarte más con tus estudios.

  • icon

    lorena vp
    el 8/2/19

  • icon

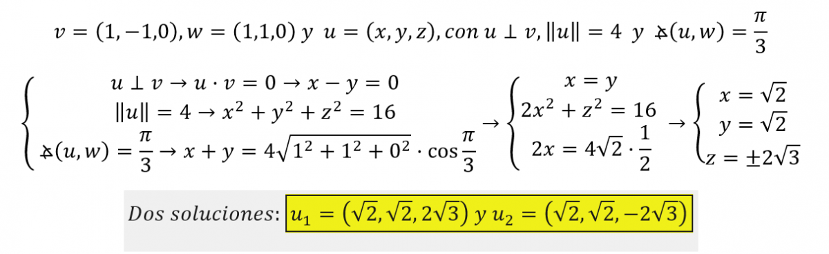
    Ahlam.
    el 8/2/19

    me ayudais con el 22,porfis 

    replythumb_up0 voto/sflag
    icon

    César
    el 8/2/19


    thumb_up1 voto/sflag
  • icon

    María Ribeiro
    el 8/2/19

    Qué diferencia hay entre la velocidad media y la rapidez media?


    replythumb_up0 voto/sflag
    icon

    César
    el 8/2/19

    https://www.youtube.com/watch?v=owQaQ4Shvug

    este video te puede aclarar las ideas

    La rapidez es una magnitud escalar que relaciona la distancia recorrida con el tiempo.

    La velocidad es una magnitud vectorial que relaciona el cambio de posición (o desplazamiento) con el tiempo




    thumb_up0 voto/sflag
  • icon

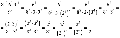
    Maria Ramallo Castilla
    el 8/2/19

    Simplificar la expresión:

    8^-2.6^5.3^-1 partido de 9^2.

    Estoy bloqueada alguien puede orientarme por dónde empezar??

    replythumb_up0 voto/sflag
    icon

    César
    el 8/2/19


    thumb_up0 voto/sflag
  • icon

    carmela
    el 8/2/19

    Esto es correcto?. Cuando eleva al cubo no debería elevar la fraccion tambien?

    replythumb_up0 voto/sflag
    icon

    Antonius Benedictus
    el 8/2/19

    Está elevada y simplificada.

    thumb_up0 voto/sflag
  • icon

    Javier Mendoza Rivilla
    el 8/2/19

    Creo que ya lo saqué.La solución a mi problema de probabilidad es de 182 elevado a -144.000,cifra astronómica.Gracias amigos.

    replythumb_up0 voto/sflag
    icon

    César
    el 10/2/19

    de nada.


    thumb_up1 voto/sflag
  • icon

    Rj Mitte
    el 8/2/19

    Ayuda unicoos no he sido capaz de hacerlos 

    replythumb_up0 voto/sflag
    icon

    Antonius Benedictus
    el 8/2/19


    thumb_up0 voto/sflag
  • icon

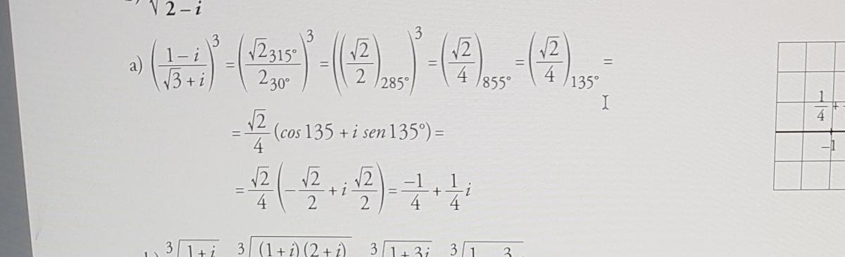
    Nabila
    el 8/2/19

    Tengo problemas con los determinantes ya que si hago sarreus tengo problemas con los signos. Me pueden mandar un video de ejercicios de la Eso con suma de numeros naturales. Gracias por haberme respondido estos dias y la verdad que he avanzado con las explicaciones de los videos.Necesito ejercicios y videos de la Eso para no equivocarme en los signos para calcular sarreous y determinantes.

    Muchas gracias y saludos

    replythumb_up0 voto/sflag
    icon

    César
    el 8/2/19

  • icon

    Adriana
    el 8/2/19

    Aquí ves 3 circunferencias. Dentro de la circunferencia del centro hay dos triángulos curvilineos. Si el radio de la circunferencia mide 4cm, ¿cuánto vale el área de uno de los triángulos curvilineos?

    replythumb_up0 voto/sflag
    icon

    Antonius Benedictus
    el 8/2/19

    Los problemas de Concursos, Gymkhanas y Olimpiadas quedan fuera de la competencia de unicoos.

    thumb_up0 voto/sflag
    icon

    César
    el 8/2/19
    flag


    thumb_up1 voto/sflag
  • icon

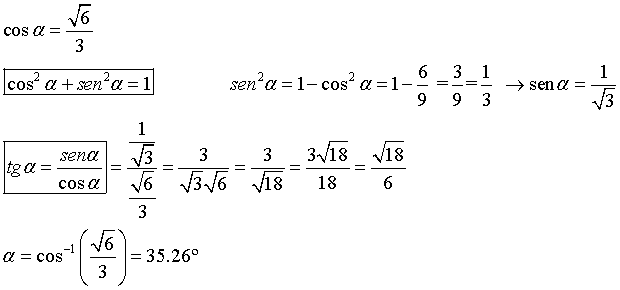
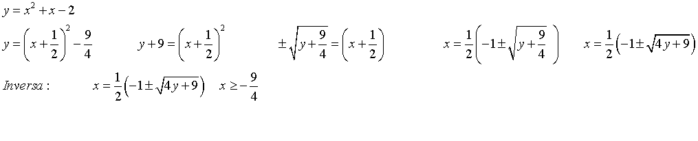
    Angeles
    el 8/2/19

    Hola unicoos! Podrian ayudarme con este ejercicio? Desde ya muchas gracias!!


    f(x)=x +x -2

    Determinar su inversa, de ser necesario, restringa el dominio. Graficar la función restringida y su inversa.


    replythumb_up0 voto/sflag
    icon

    César
    el 8/2/19


    thumb_up1 voto/sflag
    icon

    Angeles
    el 8/2/19

    Gracias profe me ayudo mucho. Pero lo que no entiendo es de donde sale (x+1/2)2 -9/4 . Podría explicarme eso?




    thumb_up0 voto/sflag
    icon

    César
    el 8/2/19


    thumb_up1 voto/sflag