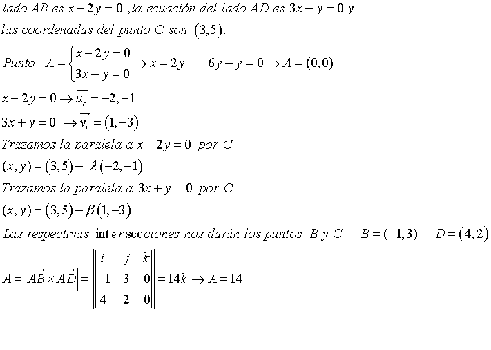
Entiendo que tienes calculados los cuatro vértices.
Debes, ahora, hallar los dos véctores que determinan el paralelogramo, por ejemplo el AB y el AC y luego hallar el módulo del vector que resulta de multiplicar ambos vectorialmente.
Te dejo un vídeo para que lo visualices mejor.
Dando los vectores a= (-3,1), b=(2,-5) i c=(4,0), encuentra tres combinaciones lineales con coeficientes reales.
AYUDARME NO SE COMO HACERLO ( si es posible poner el paso a paso)
Hola Unicoos,
No sé si tengo bien lo que he hecho, me podrían ayudar? El enunciado dice así:
Dados los vectores: = (a,b,1) , = (-3,4,1) y = (1,2,c)
(1,25 puntos) Determina el valor de los parámetros a, b, c R de manera que los vectores y sean perpendiculares y además × = , donde × denota el producto vectorial. ¿Qué ángulo forman y en dicho caso?
Muchas gracias!!

El sistema no sé si está bien planteado porque cuando lo escribiste en el ordenador hay letras que no se ven... Si asumo que lo planteaste bien (u y v son perpendiculares y v es el producto vectorial de u y w..., las ecuaciones que encontraste son correctas
a+2b+c=0
bc=-1
ac=-3
2a-b=1
Pero falla un poco la resolucion... Al hallar c te queda que c=±1 y deberías resolver el sistema teniendo en cuenta que c=1 y despues volver a hacerlo para c=-1...
Solucion 1) Si c=1.... b.1=-1.... b=-1.... 2a-(-1)=1... 2a=0... a=0....
Solucion 2) Si c=-1.... b.(-1)=-1.... b=1.... 2a-1=1... 2a=2... a=1....
Pero en ningun caso se cumple que ac=-3, de lo cual se deduce que el sistema no tiene solucion
P.D: Si v es el producto vectoria de u y w puedes jurar que v es perpendicular a u y tambien es perpendicular a w... Porque el producto vectorial de dos vectores siempre es perpendicular a ambos.