Foro de preguntas y respuestas de Matemáticas

logo beUnicoos
Los foros de unicoos se han unificado en nuestra nueva plataforma beUnicoos. Para dejar nuevas preguntas deberás hacerlo allí, donde además podrás encontrar nuevas asignaturas y herramientas para ayudarte más con tus estudios.

  • icon

    Quiroga
    el 9/2/19

    Hola alguien me puede ayudar con esto, me vale con que me digan como resolverlo. Gracias.

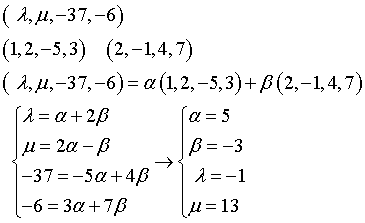
    Calcular λ, μ pertenecientes a R para que (...) perteneciente a R^4 pertenezca al subespacio general por (....) y (...)


    replythumb_up0 voto/sflag
    icon

    César
    el 9/2/19


    thumb_up1 voto/sflag
  • icon

    Rj Mitte
    el 9/2/19

    unicoos ayuda llego hasta acá pero no doy con el vector



    replythumb_up0 voto/sflag
    icon

    César
    el 9/2/19


    thumb_up1 voto/sflag
  • icon

    María Martínez
    el 9/2/19

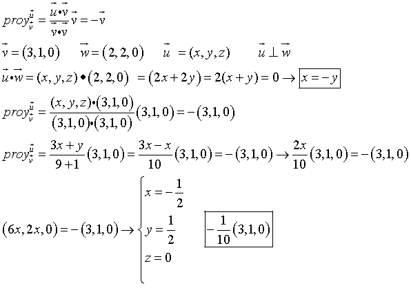
    Hola, me podéis ayudar? He intentado hacer este ejercicio varias veces y no me da que es continua. Seguro que falló en algo pero no encuentro el fallo.

    Esto es lo que he hecho yo

    Muchas gracias ante todo

    replythumb_up0 voto/sflag
    icon

    César
    el 9/2/19


    thumb_up0 voto/sflag
    icon

    César
    el 9/2/19


    thumb_up0 voto/sflag
  • icon

    Ahlam.
    el 9/2/19

    en el 27

    replythumb_up0 voto/sflag
    icon

    Antonius Benedictus
    el 9/2/19

    Se tienen que verificar estas fórmulas:


    thumb_up1 voto/sflag
  • icon

    María Ribeiro
    el 9/2/19

    Qué es la aceleración centrípeta?


    replythumb_up0 voto/sflag
    icon

    Antonius Benedictus
    el 9/2/19

    En el foro de Física te lo explicarán.

    thumb_up0 voto/sflag
  • Usuario eliminado
    el 9/2/19

    Hola, me podrían ayudar con este ejercicio por favor. ..gracias 

    replythumb_up0 voto/sflag
    icon

    Antonius Benedictus
    el 9/2/19

    No queda un recinto acotado:


    thumb_up1 voto/sflag
  • icon

    Diana Paz
    el 9/2/19

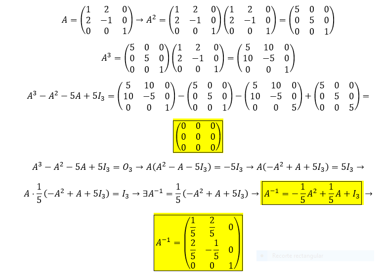
    hola unicoos alguien que me ayude con esto, en el punto a no se si esta bien el resultado me da una matriz 0 de amaño 3x3

    replythumb_up0 voto/sflag
    icon

    Antonius Benedictus
    el 9/2/19


    thumb_up1 voto/sflag
  • icon

    Leilyta Banegas
    el 9/2/19

    Hola Unicoos! Ayuda plis!
    En relación al ejercicio 1 b , unidimensionalmente, tiene que ver con resolver desigualdades doble por separado, como el ejemplo de una que hice y les dejo la foto.... Desde ya muchísimas gracias! son muy amables!!!
    Saludos! Leily

    En el ejercicio 2  dice ..... por las siguientes curvas. No me explico por qué el profesor dice curvas si so lineales... ?

    Está bien el ejercicio 5 b 

    replythumb_up0 voto/sflag
    icon

    David
    el 21/2/19

    -¿Y tu duda en el primero cual es? Lo que hiciste está perfecto!
    -Debería decir funciones, o rectas... Pero no curvas.. Tienes razón
    -El 5b tambien está genial

    GRAN TRABAJO!!

    thumb_up0 voto/sflag
  • icon

    Nabila
    el 8/2/19

    Me pueden ayudar a entender el teorema de Rouche_ frobenius.

    Mi duda es que tengo que resolver cada determante y hacer tres veces lo de eliminar filas para  que me de 0.

    Por ejemplo el primer ejercicio da o y despues menos o y su rango es es dos.porque es incompatible sin solucion.

    Necesito ayuda para comprender el teorema de rouche _ frobenius. Algun profesor me  puede dejar un número de contacto. Mi examen es el dia 15 de febrero. 

    replythumb_up0 voto/sflag
    icon

    César
    el 8/2/19

    Teorema de Rouche

    miralo con calma no es complicado


    thumb_up0 voto/sflag
  • icon

    Nabila
    el 8/2/19

    Hola soy Nabila muchas gracias por haberme ayudado estos DÍAS con mis dudas de matemàticas de segundo de bachillerato. Se me ha quedado una duda pues no entiendo la discucion de un sistema de ecuaciones por el teorema de Rouche frobenius.

    Me puden mandar videos en el que haya una explicacion sobre este tema.

    Gracias a todos los profesores que me han ayudado estos dìas.

    Saludos a todos

    replythumb_up0 voto/sflag