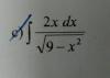
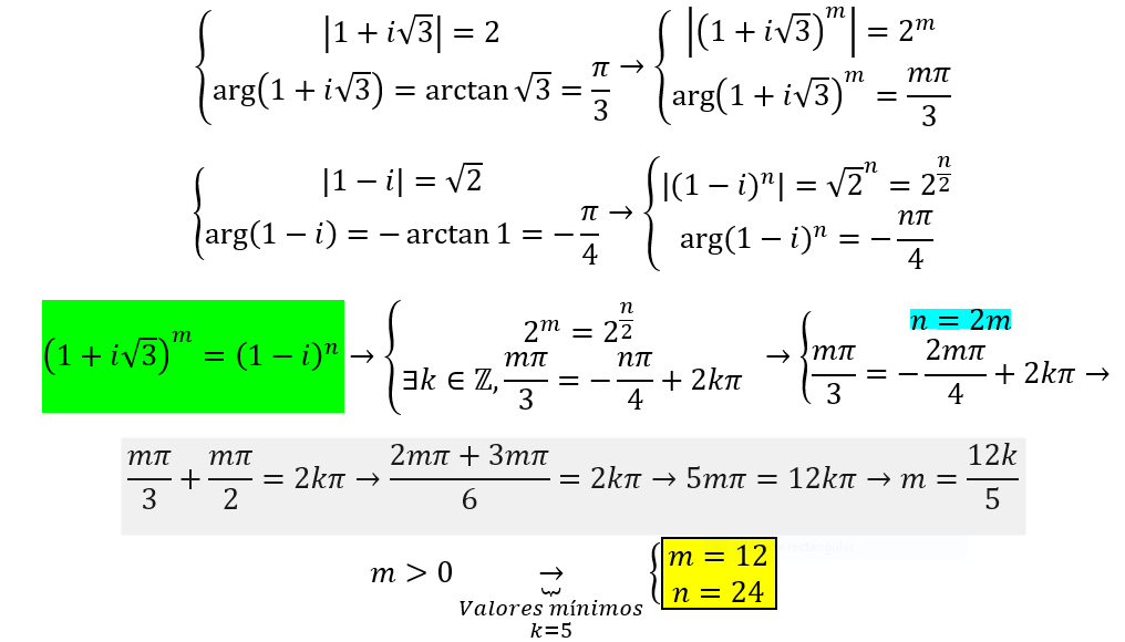
Hola Buenas tardes estaba haciendo este ejercicio:
Y tenia dudas sobre el grafico, no se si asi esta bien?:
Por favor y gracias
El simbolo de la funcion uno es theta y el otro es fiii
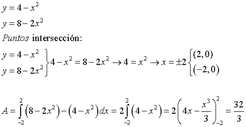
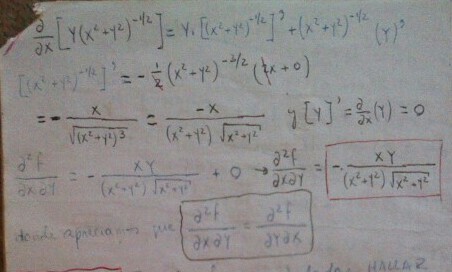
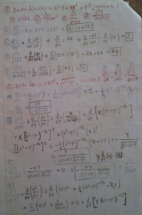
Si alguien puede ayudar a Ana con el ejercicio 3 de derivadas parciales de orden superior les agradecería , cesar la ayudo , pero que estaba mal le dijeron así que si alguien tiene idea de como resolverlo se les agradecería ... Aquí les dejo la clase que le dieron

Me encantaría ayudarte, pero no respondo dudas universitarias que no tengan que ver específicamente con los videos que ya he grabado como excepcion. O de otras asignaturas que no sean matemáticas, física y química. Lo siento de corazón… Espero lo entiendas
Ojalá algun unicoo universitario se anime a ayudarte (de hecho lo ideal es que todos los universitarios intentarais ayudaros los unos a los otros)

Te sugiero veas estos vídeos. Elipse
A partir de ahí, se trata de que DESPUES DE IR A CLASE (ver los vídeos
relacionados con vuestras dudas) enviéis dudas concretas, muy concretas. Y que
nos enviéis también todo aquello que hayais conseguido hacer por vosotros
mismos. Paso a paso, esté bien o mal. No solo el enunciado. De esa manera
podremos saber vuestro nivel, en que podemos ayudaros, cuales son vuestros
fallos.... Y el trabajo duro será el vuestro. Nos cuentas ¿ok? #nosvemosenclase
;-)