Holaa chicos, estoy haciendo ejercicios de ecuaciones cubicas, pero me estoy confundiendo cuando tengo que hacer los ejercicios que lleven letras, echarme Una manita ![]()

Tienes la ecuación polinómica cúbica:
c3 + c2 - 56*c = 0;
observa que extraes factor común en el primer miembro, y queda:
c*(c2 + c - 56) = 0;
luego, por anulación de una multiplicación, tienes dos opciones:
1°)
c1 = 0;
2°)
c2 + c - 56 = 0, que es una ecuación polinómica cuadrática, cuyas soluciones son:
c2 = (-1+15)/2 = 7,
c3 = (-1-15)/2 = -8.
Luego, tienes que los tres valores remarcados son soluciones de la ecuación de tu enunciado.
Espero haberte ayudado.
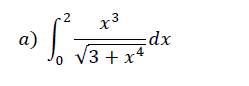
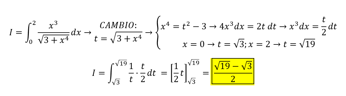
Hola Unicoos! Tengo problemas para resolver esta integral definida: Sería integral definida entre 2(arriba) y 0 (abajo) de :
x³ / √3 +4 dx
Hola amigos , soy nueva en el grupo , les agradecería que me ayudaran a hallar la derivada direccional del punto p y en !a dirección hay marcada , lo único que se es que la función me quedaría 2x-8y creo ,que es hacii y si saco coseno de 60 me da 1/2 y seno de 60 √3/2 pero no se si sea necesario hacerlo o hay una formula en la tabla de derivadas que me lleven al resultado que hay me piden ... Este tema se llama derivadas direccionales o tasa de variación

Tienes la expresión de la función:
f(x,y) = x2 - 8*y,
y observa que la función es diferenciable en R2,
y que las expresiones de sus derivadas parciales son:
fx(x,y) = 2*x,
fy(x,y) = -8;
luego, evalúas las expresiones de las derivadas parciales para el punto en estudio: P0(-2,2), y queda:
fx(-2,2) = -4,
fy(-2,2) = -8,
por lo que tienes que el vector gradiente de la función evaluado en el punto en estudio queda:
∇f(-2,2) = < -4 , -8 >.
Tienes la expresión del vector dirección, que es unitario (te dejo la tarea de demostrarlo):
u = < cos(60°) , sen(60°) >.
Luego, aplicas la propiedad de la derivada direccional de una función diferenciable, y queda:
Duf(-2,2) = ∇f(-2,2) • u, reemplazas las expresiones vectoriales remarcadas, y queda:
Duf(-2,2) = < -4 , -8 > • < cos(60°) , sen(60°) >, desarrollas el producto escalar, y queda:
Duf(-2,2) = -4*cos(60°) - 8*sen(60°), reemplazas los valores de las razones trigonométricas, y queda:
Duf(-2,2) = -4*(1/2) - 8*( √(3)/2 ), resuelves en cada término, y queda:
Duf(-2,2) = -2 - 4*√(3).
Espero haberte ayudado.

Me encantaría ayudarte, pero no respondo dudas universitarias que no tengan que ver específicamente con los videos que ya he grabado como excepcion. O de otras asignaturas que no sean matemáticas, física y química. Lo siento de corazón… Espero lo entiendas
Ojalá algun unicoo universitario se anime a ayudarte (de hecho lo ideal es que todos los universitarios intentarais ayudaros los unos a los otros)
Hola queria saber si me podian ayudar con esta ecuacion diferencial del tema de variables separadas
no pude realizarla, lo que intente hacer fue aplicar ln para bajar el exponente luego desarrollar la multiplicacion de (x+y)*ln(a) para luego ir aplicando las propiedades de los logaritmos para ir dejando las x de un lado y las y de otro pero no creo que este bien.![]()
Hola buenas, según este problema:
Se ha trazado una recta tangente a la curva y= x3, cuya pendiente es 3 y pasa por el punto (0,−2). Hallar el punto de tangencia.
sol: (1,1)
Perdón por la escasa claridad esta a lapiz y la cam es una basura, aparte de esto el resultado que es a lo que voy es que obtengo dos puntos
de corte entre la curva y su tangente 1 y -2 y el ejercicio indica que hay un único punto
¿qué hago mal?¿está mal el resultado propuesto o mi planteamiento? mil gracias de antemano por vuestra dedicación y esfuerzo.
Hola a todos, necesito resolver el siguiente problema puede alguien ayudarme:
Un padre al morir, hereda a cada uno de sus hijos igual cantidad de dinero. Al mayor le deja $40000 + (1\6) del sobrante; al segundo hijo , $80000 + (1\6) del sobrante; y así sucesivamente, o sea, $40000 más que al anterior y (1\6) del sobrante. ¿Cual es la cantidad heredada, el número de hijos, y la cantidad que le toca a cada uno?
¡¡¡ Gracias !!!