Foro de preguntas y respuestas de Matemáticas

logo beUnicoos
Los foros de unicoos se han unificado en nuestra nueva plataforma beUnicoos. Para dejar nuevas preguntas deberás hacerlo allí, donde además podrás encontrar nuevas asignaturas y herramientas para ayudarte más con tus estudios.

  • icon

    Y3
    el 31/1/19

    Creéis que lo tengo bien? Gracias!!!!!

    replythumb_up0 voto/sflag
    icon

    César
    el 31/1/19

    Da negativo  y te lo piden entre [0,90º] y el seno en el primer cuadrante es siempre positivo


    thumb_up0 voto/sflag
    icon

    Javito
    el 1/2/19

    Si el resultado es correcto.

    thumb_up0 voto/sflag
  • icon

    Ángela
    el 31/1/19

    ¿Podéis decirme si hice bien el ejercicio?


    replythumb_up0 voto/sflag
    icon

    César
    el 1/2/19

    Perfecto Ángela

    thumb_up1 voto/sflag
  • icon

    Chris Rincon
    el 31/1/19

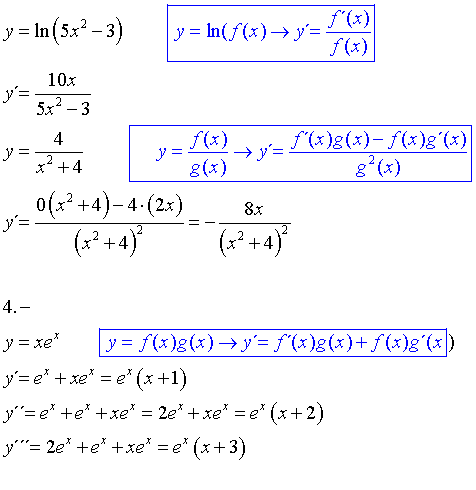
    Hola me pueden ayudar a resolver estas integrales o a decirme que video me ayuda, gracias


    replythumb_up0 voto/sflag
    icon

    Neofito 007
    el 31/1/19

    Aparentemente se ve difícil pero sólo hay que buscar el cambio de variable adecuado , inténtelo , el tema es integral por sustitución simple.


    1) √y + 5 = u ===> dy/(2√y) = du


    2) lnx³ - 2 = u ===> (1/x³)(3x²dx) = du

    ==> 3dx/x = du


    3) 1/x = u ==>  - dx/x² = du


    thumb_up1 voto/sflag
    icon

    César
    el 1/2/19


    thumb_up0 voto/sflag
  • icon

    Lau
    el 31/1/19

    Buenas, alguien podría ayudarme con estos dos ejercicios, gracias de antemano 

    replythumb_up0 voto/sflag
    icon

    César
    el 31/1/19


    thumb_up0 voto/sflag
  • icon

    Ana Paula
    el 31/1/19

    Chicos Ayuuda!!! Como podria resolver esta operacion 

    replythumb_up0 voto/sflag
    icon

    Andres Sampayo
    el 31/1/19

    sacale arcoseno o sen-1 al termino numerico

    thumb_up0 voto/sflag
    icon

    César
    el 31/1/19

    Hay que saberse las razones de los ángulos mas importantes


    thumb_up0 voto/sflag
    icon

    Neofito 007
    el 31/1/19


    thumb_up1 voto/sflag
    icon

    Javito
    el 1/2/19

    Aplica la función inversa de sen(x)  a ambos lados de la ecuación, para despejar x y luego emplea alguna calculadora cientifíca para obtener el valor de x.

    thumb_up1 voto/sflag
  • icon

    Miriam Gonzalez
    el 31/1/19

    Hola. Me podríais ayudar con un problema de inecuaciones que no entiendo como lo hizo la profesora?

    replythumb_up0 voto/sflag
    icon

    César
    el 31/1/19


    thumb_up1 voto/sflag
    icon

    Miriam Gonzalez
    el 31/1/19

    gracias

    thumb_up0 voto/sflag
    icon

    Javito
    el 1/2/19

    En si el desarrollo matemático realizado por la profesora es correcto, solo hay que seguirlo detenidamente, el paso que no es fácil  de dar en la solución de este tipo de problemas es interpretar correctamente el enunciado del problema, para poder después establecer un modelo matemático que al emplearlo nos conduzca a la solución.  Esto solo se consigue luego de haber resuelto algunos problemas de un grado de dificultad menor al que se esta intentando resolver.    

    thumb_up1 voto/sflag
  • icon

    Rubén
    el 31/1/19

    Tengo una duda existencial, ¿pueden ayudarme? Si te dan una función cualquiera y te dicen que está definida como f: IN →IR, ¿eso significa que el dominio de esa función son los números naturales y que el conjunto imagen de esa función son todos los números reales o significa que el recorrido o rango de dicha función es un conjunto que está incluido en IR?


    replythumb_up0 voto/sflag
    icon

    Antonius Benedictus
    el 31/1/19

    Es la segunda opción, Rubén.

    thumb_up0 voto/sflag
  • icon

    Miriam Gonzalez
    el 31/1/19

    Hola. Alguien me podría ayudar a resolver la siguiente inecuación?

    -2(x-2)(x+3)2<0

    replythumb_up0 voto/sflag
    icon

    César
    el 31/1/19


    thumb_up1 voto/sflag
    icon

    Miriam Gonzalez
    el 31/1/19

    gracias


    thumb_up0 voto/sflag
    icon

    Javito
    el 1/2/19

    La solución que te están proporcionando previamente no es correcta. Ejemplo la desigualdad no se satisface si x = - 2.1. Para atacar correctamente su solución debemos proceder como se indica a continuación. 

    1.- Observemos que la inecuación al inicio tiene un signo negativo. De entrada tenemos que quitar el signo negativo de la inecuación para lo cual debemos

         multiplicar la inecuación dada por -1, esto provoca que el sentido de la inecuación se invierta.

    2.- .Luego revisamos los casos en los cuales se satisface la inecuación obtenida en el paso 1.

          Caso1  primer factor > 0    Y      segundo factor > 0            

                       x-2> 0 ;                     Y      (x-3) al cuadrado > 0 

                        x>2                           Y      x  en conjunto de los reales

                        solución caso 1:

                                     x en (2, infinito) intersección  conjunto de los reales = (2, infinito)           

                                     x en (2, infinito)

          Caso2  primer factor < 0   Y       segundo factor< 0                

                                     x-2 < 0        Y      (x + 3) al cuadrado < 0

                                      x<2              Y     conjunto vacío

                          solución caso 2 :

                                      x en (-infinito, 2) intersección conjunto vacío = conjunto vacío

          Donde hablando en términos de solución de desigualdades y se debe interpretar como la intersección de        intervalos

    3.- La solución de la inecuación sera igual a la union  ( O ) intervalos solución de los casos 1 y 2.

         x en (2,infinito) unión conjunto vacío = (2, infinito) 

       

      Nota.- En este caso el número de factores que intervienen en la inecuación es dos ( 2 ), por lo cual el análisis de la inecuación es relativamente sencillo. Si el número de factores es mayor a 2 por ejemplo 5, el número  de casos a analizar aumentará provocando que el análisis de la inecuación se complique.  




                                       


    thumb_up1 voto/sflag
  • icon

    Sol
    el 31/1/19

    hola, alguien me puede ayudar con este problema:

    Ricardo depositó la misma suma de dinero en el banco todos los meses durante 10 años a una tasa anual de 14,4%. Si los intereses se acumulan en forma mensual y al finalizar el último mes del 10° año Ricardo retiró $214.859,2546 del banco, ¿Cuál es la suma fija que depositaba todos los meses en el banco?

    gracias!

    replythumb_up0 voto/sflag
    icon

    César
    el 10/2/19


    thumb_up1 voto/sflag
  • icon

    angel martinez
    el 31/1/19

    Una pelota ,al caer al suelo rebota hasta 3/8 de la altura desde la que se suelta .si se la deja caer al suelo desde 1024 cm , ¿ a que altura llegara tras el tercer bote?


    ¿Dónde puedo encontrar problemas de este tipo, curso,videos...etc de esta web?

    Gracias

    replythumb_up0 voto/sflag
    icon

    Guillem De La Calle Vicente
    el 31/1/19


    thumb_up0 voto/sflag
    icon

    Guillem De La Calle Vicente
    el 31/1/19

    Puedes mirar vídeos de progresiones geométricas.

    Saludos.

    thumb_up0 voto/sflag