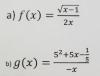
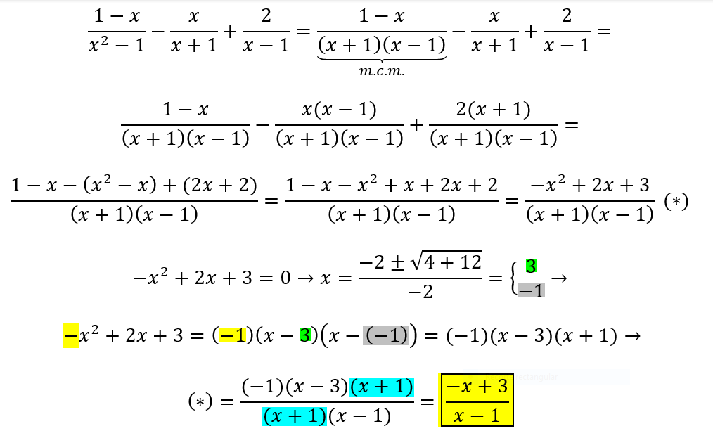
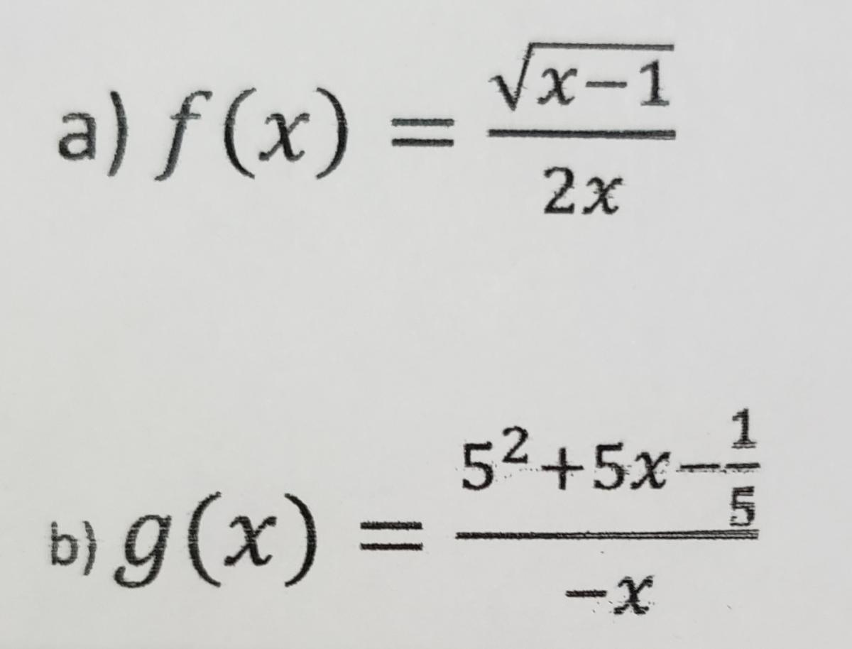
¿Me podrían ayudar con el planteamiento del sgt. enunciado?
Hallar el volumen del sólido limitado por las superficies: y=1-(1/4)(x^2+z^2) y=1/2 & y=3/4. Solo plantear la integral triple en coordenas cilíndricas para comparar con mis respuestas. Gracias. :')

¡Hola! Nos encantaría ayudarte, pero no solemos responder dudas universitarias que no tengan que ver específicamente con los vídeos que David Calle ha grabado como excepción. O de otras asignaturas que no sean Matemáticas, Física y Química. Lo sentimos de corazón… Esperamos que lo entiendas.
Ojalá algún unicoo universitario se anime a ayudarte (de hecho, lo ideal es que todos los universitarios intentarais ayudaros los unos a los otros).

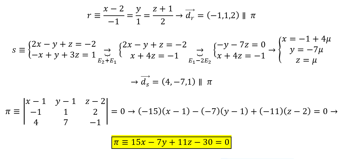
Observa que el sólido tiene como eje de simetría al eje OY, y que está limitado lateralmente por un paraboloide cuya ecuación cartesiana tienes en tu enunciado; y que está limitado además por dos planos perpendiculares al eje OY, que determinan dos "tapas" circulares.
Luego, planteas las Coordenadas Cilíndricas con eje OY como funciones de las coordenadas cartesianas, y tienes:
x = r*senθ,
y = y,
z = r*cosθ,
con el factor de compensación (Jacobiano): │J│ = r.
Luego, observa que la ecuación del paraboloide queda:
y = 1 - (1/4)*r2 de aquí despejas (recuerda que r toma valores positivos): r = 2*√(1-y) (1);
y que las ecuaciones de los planos quedan invariantes:
y = 3/4, que al reemplazar y resolver en la ecuación señalada (1) queda: r = 1 (2),
y = 1/2, que al reemplazar y resolver en la ecuación señalada (1) queda: r = √(2) (3),
y observa que r toma valores intermedios entre los valores señalados (2) (3).
Luego, con los valores señalados (1) (2), por lo que tienes que "r va desde el eje OY hasta el paraboloide", por lo que tienes el intervalo de integración:
0 ≤ r ≤ 2*√(1-y);
con las ecuaciones de los planos tienes el intervalo de integración:
1/2 ≤ y ≤ 3/4;
y como el sólido es simétrico con respecto al eje OY, tienes el intervalo de integración:
0 ≤ θ ≤ 2π.
Y luego, solo te queda plantear y resolver la integral triple.
Espero haberte ayudado.
Hola buenas necesito ayuda para el segundo ejercicio de programacion dinamica ese es el modelo de la mochilla... no se como comenzar a resolverlos... muchas gracias de antemano

¡Hola! Nos encantaría ayudarte, pero no solemos responder dudas universitarias que no tengan que ver específicamente con los vídeos que David Calle ha grabado como excepción. O de otras asignaturas que no sean Matemáticas, Física y Química. Lo sentimos de corazón… Esperamos que lo entiendas.
Ojalá algún unicoo universitario se anime a ayudarte (de hecho, lo ideal es que todos los universitarios intentarais ayudaros los unos a los otros).
hola buen día, tengo un problema con este ejercicio, me podrías ayudar. seria de gran ayuda. gracias

Tienes la ecuación trigonométrica:
tanx = 0, cuyas soluciones en el primer giro (entre 0º y 360º) son:
a)
x = 0º (ángulo para el que tienes: sen(0º) = 0 y cos(0º) = 1, tal como tú dices);
b)
x = 180º (ángulo para el que tienes: sen(180º) = 0 y cos(180º) = -1).
Luego, recuerda que puedes sumar (o restar) 360º a cada valor, por lo que tienes la lista de valores:
a)
... -720º, -360º, 0º, 360º, 720º...;
b)
... -540º, -180º, 180º, 540º, 900º, ...;
y observa que si unificas las dos listas, y mantienes el orden de menor a mayor, queda la secuencia:
... -720º, -540º, -360º, -180º, 0º, 180º, 360º, 540º, 720º, 900º, ...;
y observa que todas las cantidades son múltiplos enteros de 180º, por lo que puedes expresar la secuencia en la forma:
... 180º*(-4), 180º*(-3), 180º*(-2), 180º*(-1) , 180º*0, 180º*1, 180*2, 180º*3, 180º*4, 180º*5, ...;
por lo que puedes expresar a los valores de la secuencia en forma general:
x = 180°*k, para todo k ∈ Z.
Espero haberte ayudado.