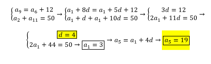
¿Como se resolvería? En una progresión aritmética el término noveno supera en 12 unidades al término sexto, y el término segundo y el decimoprimero suman 50. Calcula la diferencia y el término a5
Sea x=a5 y d la diferencia
por lo tanto:
a9 =a6+4d=x+4d
a6 =a5+d=x+d
como el término noveno supera en 12 unidades al término sexto:
a9 =a6-12 => x+4d=x+d-12 => 3d=12 => d=4
por otro lado tenemos que:
a2 =a5-3d=x-3d=x-3·4=x-12
a11 =a5+6d=x+6d=x+6·4=x+24
como el término segundo y el decimoprimero suman 50:
a2 + a11=50 => x-12 + x+24 = 50 => 2x = 38 => x= 19 => a5= 19
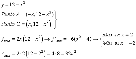
Que pasa si cuando estoy calculando Area maxima me queda un numero?
Ejemplo estaba calculando el area de un trapecio me dan la base menor 3 y la altura 2 pero no la base mayor
Me quedo la expresion 6 + 2x para el area , lo derive y me da 2 pero ese 2 que representa? por que se supone que despues de derivar lo tengo que igualar a cero no?
Asi que estoy algo perdido, si me pudieran explicar por favor
Me pueden explicar como resolver este problema de media aritmética ponderada. Por favor.
Jim hizo un pedido de cintas VHS. Jim ordenó 6 cajas de High-Grade, 4 cajas de Performance High-Grade, 8 cajas de Standard, 3 cajas de High Standard y 1 caja de Low Grade. Cada caja contiene 24 cintas. Suponga que los costos por caja son:High-Grade,$28; Performance High-Grade,$36; Standard, $16; High Standard, $18, y Low, $6. a) ¿Cuál es el costo promedio por caja? b) ¿Cuál es el costo promedio por cinta?

Observa que la cantidad total de cajas pedidas, con el orden de tu enunciado, es:
N = 6 + 4 + 8 + 3 + 1 = 22.
Observa que la cantidad total de cintas pedidas es:
T = 22*24 = 528.
Luego, observa que los precios de una caja son, para cada tipo, con el orden de tu enunciado:
28, 36,16, 18 y 6 (en $).
Observa que el costo total del pedido (suma de: cada cantidad de cajas multiplicado por el precio de una caja) es:
C = 6*28 + 4*36 + 8*16 + 3*18 + 1*6 = 500 (en $).
a)
Luego, planteas la expresión del costo promedio por caja, y queda:
PCaja = C/N = 500/22 = 250/11 ≅ 22,73 (en $).
b)
Observa que el costo promedio por cinta es igual a la división del costo total del pedido entre la cantidad total de cintas, por lo que queda:
PCinta = C/T = 500/528 = 125/132 ≅ 0,95 (en $).
Espero haberte ayudado.
hola. me pueden ayudar con este problema:
Encuentre la curva que pasa por el punto (√2 ; 2) y tiene la propiedad de que si una recta normal se dibuja en cualquier punto P de la curva, luego la parte de la recta normal entre P y el eje X es bisecada por el eje Y.
Gracias!
Hola People!!
El 14 de Febrero empiezo la carrera de Física.
Estoy repasando matemáticas de Bachillerato, pero si alguno tuviera la generosidad de ayudarme, me gustaría tener una lista sobre los temas en los que debería de hacer hincapié.
Os lo agradecería muchísimo, un saludo!!
Hola unicoos, quería pedir ayuda para resolver el siguiente ejercicio de vectores, no sé por dónde empezar. El enunciado dice así:
Se sabe que c→ = a→ + 2b→ y d→ = 5a→ - 4b→ son perpendiculares y que a→ y b→ son unitarios. ¿Cuál es el ángulo que forman a→ y b→?
Gracias de antemano

Tienes en tu enunciado que los vectores c y d son perpendiculares, por lo que tienes que su producto escalar es igual a cero:
c•d = 0, sustituyes las expresiones de los vectores que tienes en tu enunciado, y queda:
(a + 2*b)•(5a - 4*b) = 0, distribuyes el primer miembro (recuerda que el producto escalar es conmutativo), y queda:
5*(a•a) - 4*(a•b) + 10*(a•b) - 8*(b•b) = 0, reduces términos semejantes, y queda:
5*(a•a) + 6*(a•b) - 8*(b•b) = 0, restas 5*(a•a) y sumas 8*(b•b) en ambos miembros, y queda:
6*(a•b) = -5*(a•a) + 8*(b•b) (1).
Luego, desarrollas los productos escalares que tienes en el segundo miembro (observa que tienes dos productos escalares de un vector por sí mismo), y queda:
a•a = │a│*│a│*cos(0) = │a│*│a│*1 = │a│2, reemplazas el valor del módulo del vector = 12 = 1,
b•b = │b│*│b│*cos(0) = │b│*│b│*1 = │b│2, reemplazas el valor del módulo del vector = 12 = 1;
luego, reemplazas los valores obtenidos en los segundos factores de lo dos términos del segundo miembro de la ecuación señalada (1), y queda:
6*(a•b) = -5*1 + 8*1, resuelves el segundo miembro, y queda:
6*(a•b) = 3, divides por 6 en ambos miembros, y queda:
a•b = 1/2 (2).
Luego, desarrollas el producto escalar que tienes en el primer miembro (observa que llamamos θ a la medida del ángulo determinado por los vectores a y b), y queda:
a•b = │a│*│b│*cos(θ) = reemplazas los valores de los módulos de los vectores = 1*1*cos(θ) = cos(θ);
luego, reemplazas la expresión obtenida en el primer miembro de la ecuación señalada (2), y queda:
cos(θ) = 1/2, compones en ambos miembros con la función inversa del coseno, y queda:
θ = π/3 rad = 60º.
Espero haberte ayudado.