Foro de preguntas y respuestas de Matemáticas

logo beUnicoos
Los foros de unicoos se han unificado en nuestra nueva plataforma beUnicoos. Para dejar nuevas preguntas deberás hacerlo allí, donde además podrás encontrar nuevas asignaturas y herramientas para ayudarte más con tus estudios.

  • icon

    Dani Mendez
    el 23/1/19

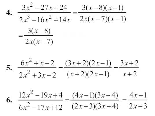
    Buenas tardes, ¿podrian ayudarme con estos tres ejercicios? que no entiendo el procedimiento que se hizo para simplificar las expresiones, agradeceria si me podrian explicar. Muchas gracias 


    replythumb_up0 voto/sflag
    icon

    Antonius Benedictus
    el 23/1/19


    thumb_up1 voto/sflag
  • icon

    Rubén
    el 23/1/19

    Hola unicoos, me pueden ayudar con este ejercicio?:


    replythumb_up0 voto/sflag
    icon

    Antonius Benedictus
    el 23/1/19


    thumb_up0 voto/sflag
  • icon

    Bryam Maldonado
    el 23/1/19

    Me pueden ayudar con este ejercicio por favor 


    replythumb_up0 voto/sflag
    icon

    Antonius Benedictus
    el 23/1/19


    thumb_up0 voto/sflag
  • icon

    JUAN DIEGO FIGUERA TRUJILLO
    el 23/1/19

    ayuda en la 12 por favor 

    replythumb_up0 voto/sflag
    icon

    Guillem De La Calle Vicente
    el 23/1/19


    thumb_up0 voto/sflag
    icon

    Antonius Benedictus
    el 23/1/19


    thumb_up0 voto/sflag
    icon

    Guillem De La Calle Vicente
    el 23/1/19


    thumb_up0 voto/sflag
    icon

    Guillem De La Calle Vicente
    el 23/1/19


    thumb_up0 voto/sflag
  • icon

    Sara Inés Díaz Suárez
    el 23/1/19

    Holaa, tengo examen mañana de cálculo, me podrían pasar ejercicios de optimización (de áreas, superficies y volúmenes), de límites y de volúmenes de revolución? (Con la solución si puede ser)


    replythumb_up0 voto/sflag
    icon

    César
    el 23/1/19

    icon

    Antonius Benedictus
    el 23/1/19

    http://canek.uam.mx/Calculo1/Teoria/Optimizacion/FTOptimizacion.pdf

    thumb_up0 voto/sflag
    icon

    Sara Inés Díaz Suárez
    el 23/1/19

    Graacias!!


    thumb_up1 voto/sflag
  • icon

    Javier
    el 23/1/19

    ¿como se resolvería este ejercicio? El valor de un ordenador que costó 1500€ se deprecia anualmente en 270€. Si su valor de desecho es de 420€, ¿cuál ha sido su vida útil?. Gracias

    replythumb_up0 voto/sflag
    icon

    César
    el 23/1/19


    thumb_up0 voto/sflag
  • icon

    lbp_14
    el 23/1/19

    Hola Unicoos 

    Alguien me ayuda con el apartado b) me he quedado atascada 

    Muchas gracias



    replythumb_up0 voto/sflag
    icon

    César
    el 23/1/19

    Correctísimo 


    thumb_up0 voto/sflag
    icon

    César
    el 23/1/19


    thumb_up0 voto/sflag
  • icon

    Ainhoa Ramos
    el 23/1/19

    ¿Cómo se resolvería esto? se que es una chorrada pero me quedé atascada...

    9,5= -log(a/0'25) 


    Es que si lo resuelvo como yo creo que es me da que "a" vale 0'95 y no se si está bien

    replythumb_up0 voto/sflag
    icon

    Antonius Benedictus
    el 23/1/19

    Pon foto del enunciado original, por favor.

    thumb_up0 voto/sflag
    icon

    Ainhoa Ramos
    el 23/1/19

    Es resolviendo una ecuación de química, por eso no he incluhído el enunciado aquí. Pero lo incluyo por si acaso: 

    Averigua los gramos de Hidróxido de potacio que hay que añadir a 250ml de agua para obtener una disolución de pH=9'5. Supón que el volumen de agua se mantiene constante.

    yo hice lo siguiente:


    pH= -log(a/0'25)          9'5=-log(a/0'25)           9'5= -log a  - log0'25        9'5= -log a + 0'6      9'5- 0'6 = -log a     8'9= -log a      log 8'9= -loga            0'95= a


    thumb_up0 voto/sflag
  • icon

    Borja
    el 23/1/19

    Cómo se resuelven? 


    replythumb_up0 voto/sflag
    icon

    Antonius Benedictus
    el 23/1/19


    thumb_up1 voto/sflag
    icon

    Antonius Benedictus
    el 23/1/19


    thumb_up1 voto/sflag
  • icon

    Sebastián González
    el 23/1/19

    Dadas las rectas r= x+y-3=0; s= 2x-y+1=0. Hallar una recta que pase por (1'1) y forme ángulos iguales con r y s. ¿Cómo se haría? ¿Y que vídeos de unicoos he de ver para saber hacerla? Gracias por su respuesta y disculpad las molestias hehe.

    replythumb_up0 voto/sflag
    icon

    Antonius Benedictus
    el 23/1/19

    Pon foto del enunciado original y te lo explicamos.

    thumb_up0 voto/sflag