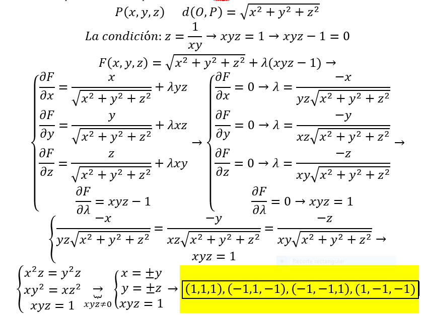
Hola todos. Tengo un problema que no lo puedo resolver. Aparentemente es de “Cadenas de Markov”. Alguien me podría ayudar por favor. Muchas gracias.

¡Hola! Nos encantaría ayudarte, pero no solemos responder dudas universitarias que no tengan que ver específicamente con los vídeos que David Calle ha grabado como excepción. O de otras asignaturas que no sean Matemáticas, Física y Química. Lo sentimos de corazón… Esperamos que lo entiendas.
Ojalá algún unicoo universitario se anime a ayudarte (de hecho, lo ideal es que todos los universitarios intentarais ayudaros los unos a los otros).
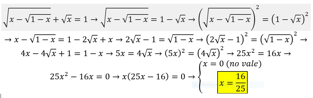
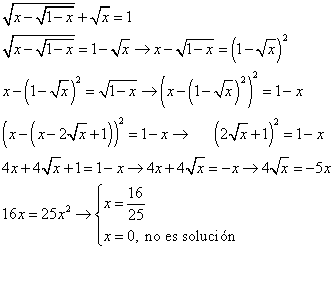
Me podéis ayudar a resolver este ejercicio de operaciones con raíces cuadradas? Esq q yo sepa no se pueden operar sumas y restas con distintos radicandos
![]()