hola. me podrían ayudar con este problema:
Dos ruedas están unidas por una banda transmisora, la primera rueda tiene un radio de 25 cm, y la segunda de 80 cm, cuando la primera rueda ha dado 300 vueltas, ¿Cuántas vueltas habrá dado la segunda?
hola. me podrían ayudar con este problema:
Se tienen dos engranajes, uno con 30 dientes y el otro con 25 dientes. ¿Cómo compararías ambos engranajes?
Muchas Gracias
hola. me podrían ayudar con este problema:
La razón entre los estudiantes y adultos en una locomoción colectiva es de 2 es a 5. Si hay 35 adultos en el tren, ¿Cuántos estudiantes hay en él?
hola. me podrían ayudar con este problema:
Encuentra
las razones de las siguientes situaciones:
a) En una ciudad existe dos niños por cada tres niñas, encuentra la razón entre niños y niñas
b) Por cada dos kilogramos de pan hay 1/2 kilogramo de queso, encuentra la razón entre los pesos de queso y pan.
c) En una institución educacional hay estudiantes externos y estudiantes internos. La cantidad de estudiantes externos es 850, mientras que la de los internos es 170. ¿Cuál es la razón entre la cantidad de los estudiantes internos y externos?
Muchas Gracias
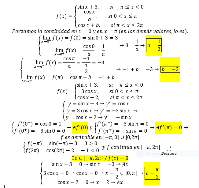
Hola buenas, tengo una gran duda en este ejercicio de matemáticas:
a) Encuentra los valores de a y b para que la función sea continua.
b) Por los valores encontrados en el apartado anterior, estudia los valores de x en que la función es derivable.
c) Demuestra utilizando el teorema de Bolzano, que ay un valor c ∈(-π, 2π) en que la función se anule. Encuentra el valor.
hola me podrian decir cual es la raíz cubica de 81
hola. me podrían ayudar con este problema:
Dada la espiral de Arquímedes r = αθ y α mayor a cero, se traza una recta tangente en el punto (α2π ; 2π), este punto lo denominaremos A, esta recta corta al eje vertical en el punto B. Sea O el centro de coordenadas, demuestre que el segmento OB es la longitud de la circunferencia de radio OA.

¡Hola! Nos encantaría ayudarte, pero no solemos responder dudas universitarias que no tengan que ver específicamente con los vídeos que David Calle ha grabado como excepción. O de otras asignaturas que no sean Matemáticas, Física y Química. Lo sentimos de corazón… Esperamos que lo entiendas.
Ojalá algún unicoo universitario se anime a ayudarte (de hecho, lo ideal es que todos los universitarios intentarais ayudaros los unos a los otros).
Perdón por molestaros otra vez con la relación de n, para el polinomio de taylor de orden n, pero es que me he dado cuenta que los términos impares desaparecen, pero la cuestión es que si empiezas desde 0 y le vas sumando 4 el resultado de la derivada sucesiva en 0 es +1, pero si empiezas por el 2 y le vas sumando cuatro el resultado de la derivada sucesiva en 0 es -1. No tengo mucha idea de como ponerlo.