Hola, podrían explicarme cuál es el procedimiento para saber si una matriz es productiva y cuando no lo es . El ejercicio es este:
buneas tardes. Alguien me puede ayudar con este problema:
Calcule la longitud de la curva y el área que encierra la misma cuando n→∞
Respuesta de "el área que encierra la misma cuando n→∞" : A=(2/5).√3.L² = (6/5).√3.R². La repuesta de la longitud no la sé
gracias
Estoy en 2º de ingeniería y necesito bastante ayuda con integrales dobles triples para cálculo de volúmenes y áreas.
Si alguno está dispuesto a ayudarme (alguien que realmente entienda) daría compensación económica
Si estáis interesados mandarme un correo a: alvandrescal@gmail.com
Muchas gracias
Buenas tardes! Podríais ayudarme con este ejercicio:
Los beneficios de una compañía de transporte de viajeros se describen por la función B(x) = ax2+bx +c , donde x es el precio por viaje. Sabemos que si cobran 40 euros por viaje el beneficio es de 19000. además si aumentamos el precio un 25%, el beneficio que se obtiene es máximo, de 20000. Calcula a, b y c.
Muchas gracias

Tienes la expresión de la función beneficio:
B(x) = a*x2 + b*x + c (1),
y la expresión de fu función derivada es:
B ' (x) = 2a*x + b (2).
Luego, tienes el primer dato:
B(40) = 19000, sustituyes la expresión señalada (1) evaluada en el primer miembro, y queda:
1600a + 40b + c = 19000, restas 1600a y restas 40b en ambos miembros, y queda:
c = 19000 - 1600a - 40b (3).
Luego, tienes el segundo dato (observa que ahora tienes el precio: x = 40 + 0,25*40 = 50, y que el beneficio es máximo):
B(50) = 20000,
B ' (50) = 0,
sustituyes las expresiones señaladas (1) (2) evaluadas en los primeros miembros, y queda:
2500a + 50b + c = 20000 (4),
100a + b = 0, aquí restas 100a en ambos miembros, y queda:
b = -100a (5);
luego, sustituyes la expresión señalada (5) en las ecuación señalada (3), y queda:
c = 19000 - 1600a - 40(-100a), resuelves el último término, reduces términos semejantes, y queda:
c = 19000 + 2400a (6);
luego, sustituyes las expresiones señaladas (5) (6) en la ecuación señalada (4), y queda:
2500a + 50(-100a) + 19000 + 2400a = 20000, resuelves el segundo término, reduces términos semejantes, y queda:
-100a + 19000 = 20000, restas 19000 en ambos miembros, y queda:
-100a = 1000, divides por -100 en ambos miembros, y queda:
a = -10;
luego, reemplazas el valor remarcado en las ecuaciones señaladas (5) (6), resuelves, y queda:
b = 1000,
c = -5000.
Luego, tienes que la expresión de la función beneficio queda:
B(x) = -10*x2 + 1000*x - 5000.
Espero haberte ayudado.
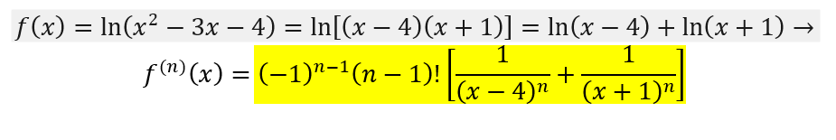
Tengo una duda con el polinomio de taylor de orden n en el punto c=0. No se somo obtener la derivada n-ésima, arriba voy a poner un apartado que he resuelto, y abajo el apartado que me esta volviendo loca, espero que podaís echarme un cable, porque no sé como relacionarlo.
Este es el que no me sale:
La verdad no sé si esta bien hecho por el momento. Un saludo y gracias por vuestro tiempo.