un recipiente mide 80m de longitud y su sección transversal es un trapecio isósceles con lados iguales de 10m, base mayor 17m y base menos de 5m. en el instante en que el agua ha alcanzado una profundidad de 5m, determine la tasa a la cual el agua escapa si su nivel disminuye a una tasa de 0.1m/h

Es un ejercicio de razón de cambio, lo siento, para el que no podemos ayudarte.
Puede que te sirva este video, no obstante... Razón de cambio 02
Lamento de todo corazon no poder ayudarte, pero unicoos (por ahora) solo
llega hasta bachiller con matemáticas, física y química. Tu duda se da en la
"uni". Espero lo entiendas... Como a veces hago alguna excepción y
además hay muchos enlaces de teoría y ejercicios resueltos, te recomiendo le
eches un vistazo a la seccion MATEMATICAS, UNIVERSIDAD de la web

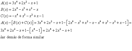
Como sen²x + cos²x = 1....
Revisa este video... Razones trigonométricas
A partir de ahí, se trata de que DESPUES DE IR A CLASE (ver los vídeos
relacionados con vuestras dudas) enviéis dudas concretas, muy concretas. Y que
nos enviéis también todo aquello que hayais conseguido hacer por vosotros
mismos. Paso a paso, esté bien o mal. No solo el enunciado. De esa manera
podremos saber vuestro nivel, en que podemos ayudaros, cuales son vuestros
fallos.... Y el trabajo duro será el vuestro. Nos cuentas ¿ok? #nosvemosenclase
;-)
Quien sería tan amable de explicarme las características generales de la función seno, no entiendo muy bien como desarrollarlas.![]()

La funcion seno es una funcion que posee un movimiento armónico simple cuyo dominio son todos los ArcSen [-1,1] dado que el seno de 90º es 1 y sen 270º es -1. Te recomiendo hacer un dibujo de la funcion y mirar en la grafica los máximos y mínimos que posee y como varia en funcion que se desplaza hacia la derecha.
Espero haberte ayudado ;)

¡Hola! Nos encantaría ayudarte, pero no solemos responder dudas universitarias que no tengan que ver específicamente con los vídeos que David Calle ha grabado como excepción. O de otras asignaturas que no sean Matemáticas, Física y Química. Lo sentimos de corazón… Esperamos que lo entiendas.
Ojalá algún unicoo universitario se anime a ayudarte (de hecho, lo ideal es que todos los universitarios intentarais ayudaros los unos a los otros).